Compartir_es_aprobar
examen con solución Calculo II
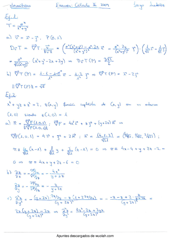
examen con solucion Calculo II.pdf
4 páginas
examen con solucion Calculo II (2).pdf
7 páginas
examen con solucion Calculo II (3).pdf
Exámenes - CI-2PAR-2019-2.pdf
pdf
2 páginas
449
0
Exámenes - ORDINARIA-2223CORREGIDA.pdf
5 páginas
150
Ejercicios - Hoja-2.pdf
8 páginas
106
Exámenes - FINAL-2019.pdf
1 página
142
Exámenes - SOLUCIOENS-FINAL-2O19.pdf
149
Exámenes - parcial-2-2223-con-soluciones.pdf
94
1
Exámenes - segundoparcialmodelo2SOLUCIONES.pdf
0 páginas
171
Ejercicios - Hoja-1.pdf
9 páginas
102
Exámenes - primerparcialmodelo1soluciones.pdf
138
Exámenes - FINAL-2020-MODELO-B.pdf
123
Exámenes - SOLUCIONES-PARCIAL-1.pdf
107
Exámenes - parcial-1-2223-con-soluciones.pdf
3 páginas
97
Ejercicios - Hoja-4.pdf
68
Exámenes - Final2021.pdf
98
Ejercicios - Hoja-3.pdf
12 páginas
86
Exámenes - FINAL-2020-MODELO-A.pdf
101
Ejercicios - Practicas-Hojas-0-1-2.pdf
59 páginas
47
Exámenes - Parcial12020.pdf
93
Exámenes - examen con solucion Calculo II.pdf
89
Ejercicios - Hoja-5.pdf
16 páginas
75