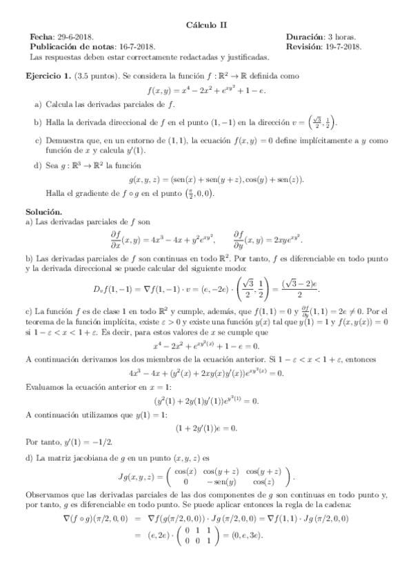
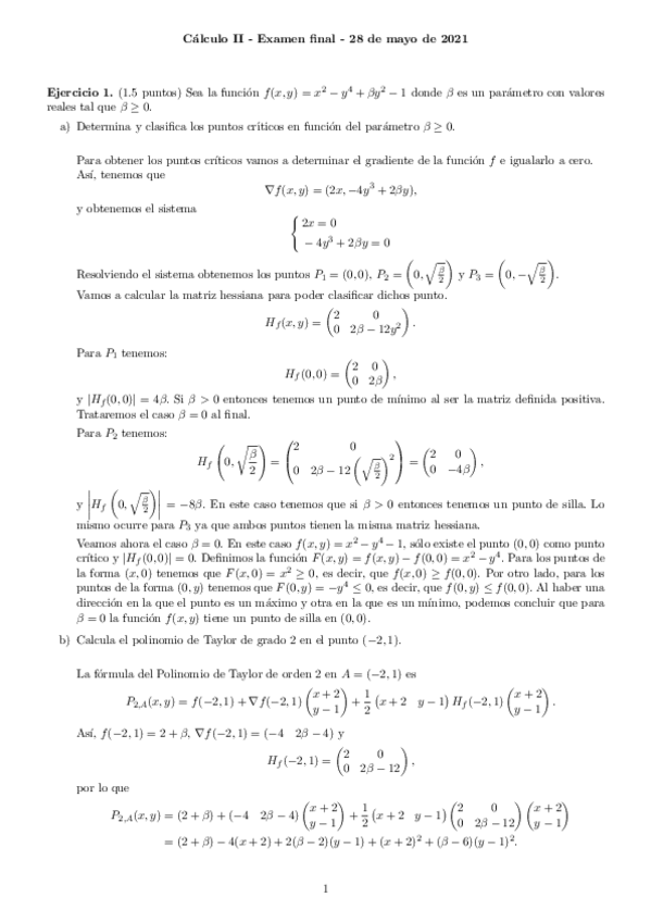
2018-03-22-Primer1Parcialsol.pdf

AlberG

Exámenes

13 archivos·

2018-03-22-Primer1Parcialsol.pdf

3 páginas

Parcial-Temas-5-y-6.pdf

2 páginas

2018-04-26-Segundo2Parcialsol.pdf

3 páginas

Primer-Parcial.pdf

1 página

Julio2019.pdf

4 páginas

Junio2017.pdf

6 páginas

Julio2017.pdf

6 páginas

SegundoParcial04-18-.pdf

3 páginas

Final2021.pdf

7 páginas

PrimerParcial03-18-.pdf

3 páginas

Junio2018.pdf

6 páginas

Julio2018.pdf

4 páginas

Final2019.pdf

4 páginas

content_copy

Archivos recomendados