Cálculo II
He publicado nuevos examenes de 1º Cálculo II: 2º Parcial 2024-25.pdf
He publicado nuevos examenes de 1º Cálculo II: Extraordinaria 2023-24 con soluciones.pdf
He publicado nuevos examenes de 1º Cálculo II: 2º Parcial 2023-24 con soluciones.pdf
He publicado nuevos examenes de 1º Cálculo II: 1º Parcial 2023-24 con soluciones.pdf
apuntes
-
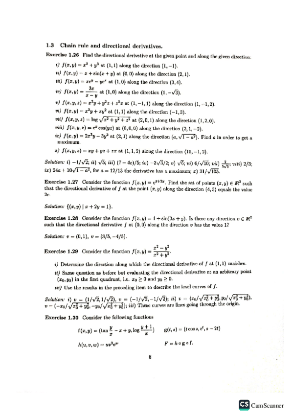
Class notes
He publicado nuevos apuntes de 1º Cálculo II: Class notes
He publicado nuevos apuntes de 1º Cálculo II: ALL-CALCULUS-II-SUMMARY-FORMULAS.pdf
apuntes
-
Notes_per_unit
He publicado nuevos apuntes de 1º Cálculo II: Notes_per_unit
ejercicios
-
Calculus II Chapter 3 Solved Excercises
He publicado nuevos ejercicios de 1º Cálculo II: Calculus II Chapter 3 Solved Excercises
ejercicios
-
Calculus II Chapter 2 Solved Excercises
He publicado nuevos ejercicios de 1º Cálculo II: Calculus II Chapter 2 Solved Excercises
He publicado nuevos ejercicios de 1º Cálculo II: All-Calculus-II-exercises-from-Biomedical-Engineering.pdf
ejercicios
-
SOLVED EXERCISES
He publicado nuevos ejercicios de 1º Cálculo II: SOLVED EXERCISES
ejercicios
-
Calculus II Chapter 1 Solved Excercises
He publicado nuevos ejercicios de 1º Cálculo II: Calculus II Chapter 1 Solved Excercises
examenes
-
Midterm Exams (Dual Bachelor) 2022
He publicado nuevos examenes de 1º Cálculo II: Midterm Exams (Dual Bachelor) 2022
examenes
-
Exámenes 2022 con soluciones (Julio)
He publicado nuevos examenes de 1º Cálculo II: Exámenes 2022 con soluciones (Julio)
He publicado nuevos apuntes de 1º Cálculo II: Ejercicios-oficiales-extra.pdf
He publicado nuevos apuntes de 1º Cálculo II: Ejercicios-Calculo-II-Completos.pdf
He publicado nuevos apuntes de 1º Cálculo II: Calculo-II-Apuntes-Completos.pdf
apuntes
-
Ejercicios por temas
He publicado nuevos apuntes de 1º Cálculo II: Ejercicios por temas
apuntes
-
Apuntes por temas
He publicado nuevos apuntes de 1º Cálculo II: Apuntes por temas
apuntes
-
Apuntes y esquemas a mano
He publicado nuevos apuntes de 1º Cálculo II: Apuntes y esquemas a mano
apuntes
-
brutales para que engañarnos
He publicado nuevos apuntes de 1º Cálculo II: brutales para que engañarnos
apuntes
-
APUNTES CÁLCULO II CON EJEMPLOS
He publicado nuevos apuntes de 1º Cálculo II: APUNTES CÁLCULO II CON EJEMPLOS
apuntes
-
Por chapters
He publicado nuevos apuntes de 1º Cálculo II: Por chapters
examenes
-
FINAL EXAM 2020 + PRACTICE EXAM
He publicado nuevos examenes de 1º Cálculo II: FINAL EXAM 2020 + PRACTICE EXAM
examenes
-
Parciales 2019-2020
He publicado nuevos examenes de 1º Cálculo II: Parciales 2019-2020
apuntes
-
Exámenes Cálculo II Vnotes
He publicado nuevos apuntes de 1º Cálculo II: Exámenes Cálculo II Vnotes
apuntes
-
Examenes VI
He publicado nuevos apuntes de 1º Cálculo II: Examenes VI
apuntes
-
Examenes IV
He publicado nuevos apuntes de 1º Cálculo II: Examenes IV
apuntes
-
Examenes III
He publicado nuevos apuntes de 1º Cálculo II: Examenes III
apuntes
-
Examenes II
He publicado nuevos apuntes de 1º Cálculo II: Examenes II
apuntes
-
Examenes I
He publicado nuevos apuntes de 1º Cálculo II: Examenes I
apuntes
-
Asignatura CALCULO II enteros
He publicado nuevos apuntes de 1º Cálculo II: Asignatura CALCULO II enteros
apuntes
-
Integrales ejercicios y apuntes
He publicado nuevos apuntes de 1º Cálculo II: Integrales ejercicios y apuntes
¡Estás al día!
Has visto todos los archivos