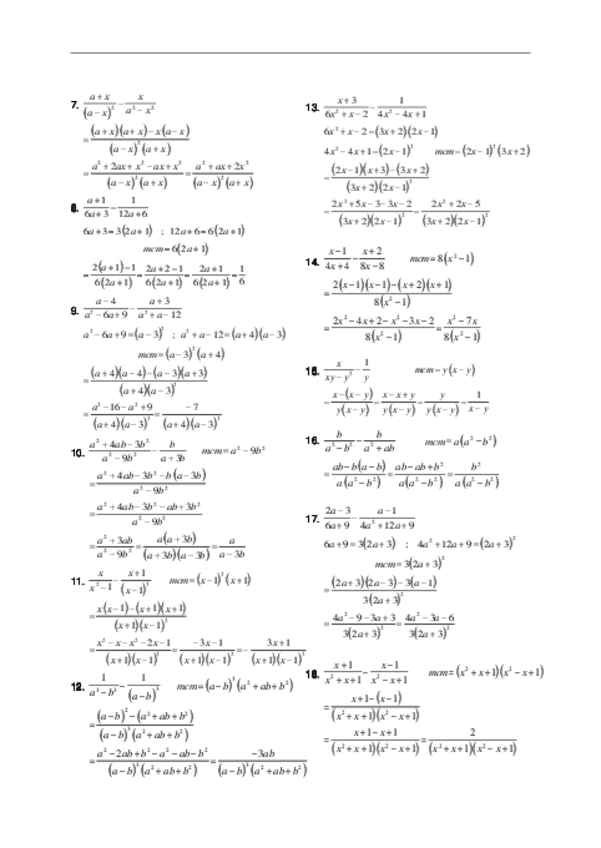
ejercios-resueltos-de-algebra-81.pdf

TOR55

ejercios resueltos

20 archivos·

ejercios resueltos con claridad

ejercios-resueltos-de-algebra-81.pdf

2 páginas

ejercios-resueltos-de-algebra-82.pdf

2 páginas

ejercios-resueltos-de-algebra-83.pdf

2 páginas

ejercios-resueltos-de-algebra-84.pdf

2 páginas

ejercios-resueltos-de-algebra-85.pdf

1 página

ejercios-resueltos-de-algebra-86.pdf

50 páginas

ejercios-resueltos-de-algebra-87.pdf

2 páginas

ejercios-resueltos-de-algebra-88.pdf

2 páginas

ejercios-resueltos-de-algebra-89.pdf

2 páginas

ejercios-resueltos-de-algebra-90.pdf

2 páginas

ejercios-resueltos-de-algebra-91.pdf

2 páginas

ejercios-resueltos-de-algebra-92.pdf

2 páginas

ejercios-resueltos-de-algebra-93.pdf

2 páginas

ejercios-resueltos-de-algebra-94.pdf

2 páginas

ejercios-resueltos-de-algebra-95.pdf

2 páginas

ejercios-resueltos-de-algebra-96.pdf

2 páginas

ejercios-resueltos-de-algebra-97.pdf

2 páginas

ejercios-resueltos-de-algebra-98.pdf

2 páginas

ejercios-resueltos-de-algebra-99.pdf

2 páginas

ejercios-resueltos-de-algebra-100.pdf

2 páginas

content_copy

Archivos recomendados