Todo
Apuntes
Preguntas
Ejercicios
Exámenes
publication
Trabajos
chevron_left
chevron_right

Resumen tema Series de Fourier, Problemas de autovalores de Sturm-Liuville y EDP.

Imagen

Apuntes tema 6: problemas de autovalores de Sturm-Liouville

5 páginas

Apuntes tema 5: Series de Fourier

4 páginas
Anónimo

@Anónimo

1º parcial resuelto 2017

16 páginas

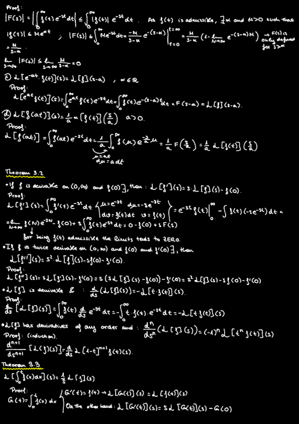
Apuntes tema 4: Transformada de Laplace

4 páginas

Apuntes tema 3: EDO lineales de orden superior

6 páginas

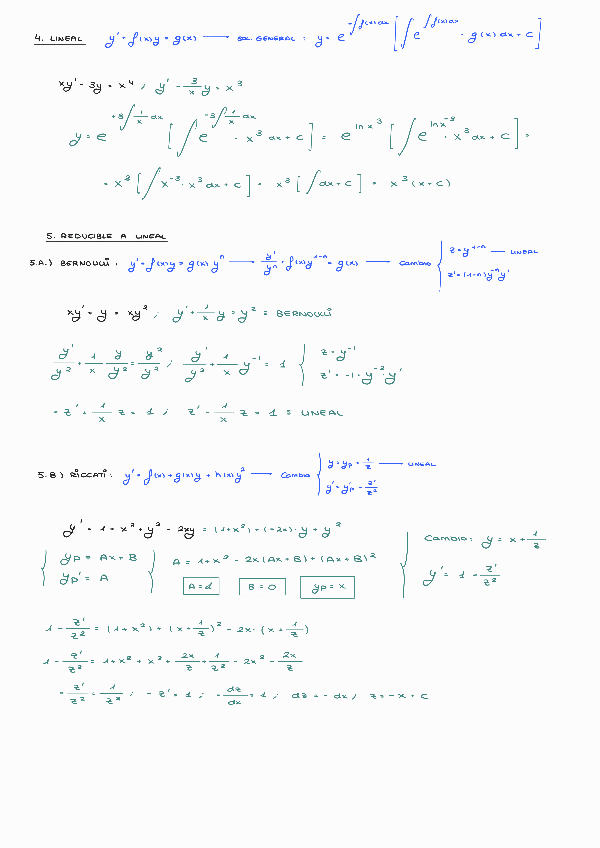
Apuntes tema 2: EDO de 1º orden

8 páginas

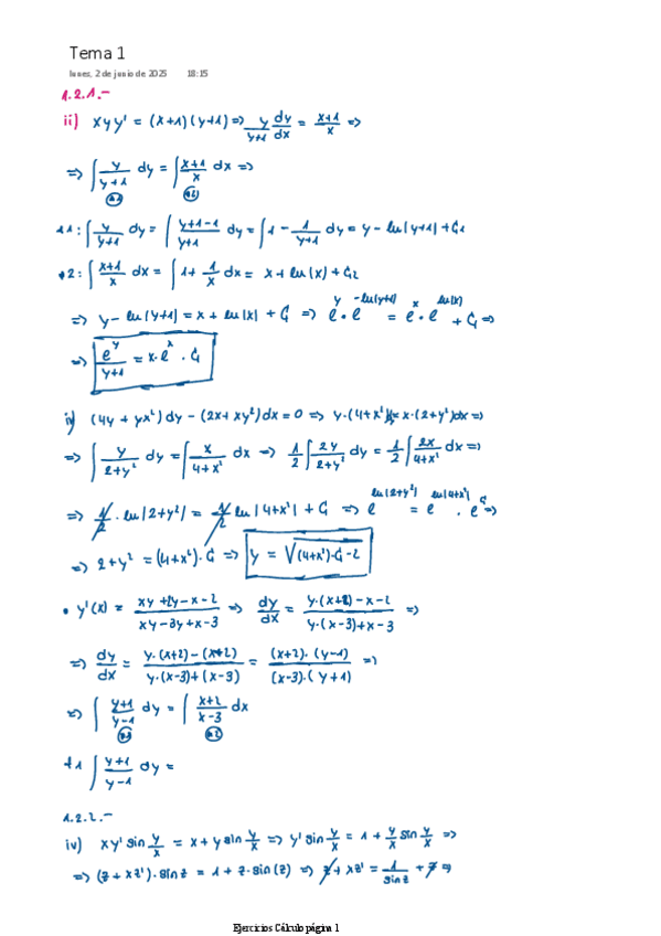
Apuntes completos tema 1

3 páginas

ejercicios

-

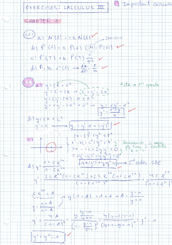
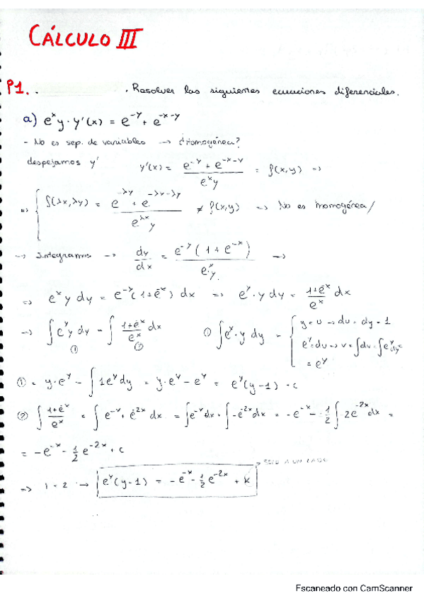
Ejercicios cálculo III

He publicado nuevos ejercicios de 2º Cálculo III: Ejercicios cálculo III

Ejercicios-T1.pdf
Ejercicios-T1.pdf
Ejercicios-T2.pdf
Ejercicios-T2.pdf
Ejercicios-T3.pdf
Ejercicios-T3.pdf
Anónimo

@Anónimo

Apuntes inglés tema 1, 2 y 3

13 páginas

examenes

-

EXAMENES 2023-2024 Con Solución

He publicado nuevos examenes de 2º Cálculo III: EXAMENES 2023-2024 Con Solución

1-Parcial-23.pdf
1-Parcial-23.pdf
2-Parcial-23.pdf
2-Parcial-23.pdf

ejercicios

-

Ejercicios resueltos por temas

He publicado nuevos ejercicios de 2º Cálculo III: Ejercicios resueltos por temas

chapter-1.pdf
chapter-1.pdf
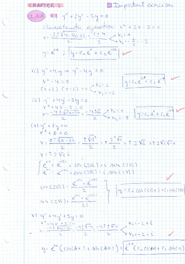
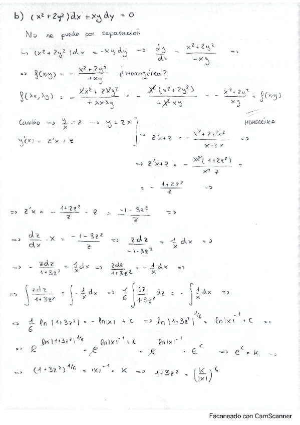
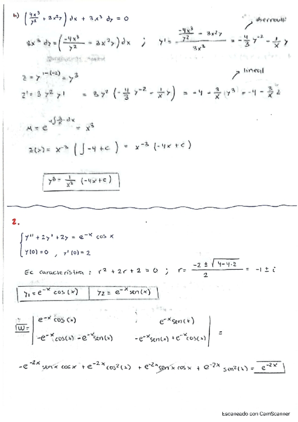
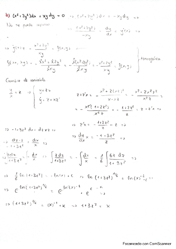
chapter-2.pdf
chapter-2.pdf
chapter-3.pdf
chapter-3.pdf

He publicado nuevos apuntes de 2º Cálculo III: APUNTES-CALCULO-III.pdf

25 páginas
Anónimo

@Anónimo

He publicado nuevos examenes de 2º Cálculo III: solexamordjan2019-Calc3.pdf

6 páginas
Anónimo

@Anónimo

He publicado nuevos apuntes de 2º Cálculo III: Relaciones-trigonometricas.pdf

1 página
Anónimo

@Anónimo

He publicado nuevos apuntes de 2º Cálculo III: Tabla-de-derivadas.pdf

4 páginas

He publicado nuevos apuntes de 2º Cálculo III: CALCULO-III-RESUMEN-FORMULAS.pdf

8 páginas

He publicado nuevos apuntes de 2º Cálculo III: Examen-19-enero-2023.pdf

6 páginas

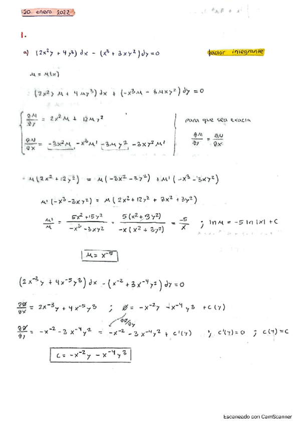
He publicado nuevos apuntes de 2º Cálculo III: Examen-20-enero-2022.pdf

7 páginas

apuntes

-

Solución Ejercicios

He publicado nuevos apuntes de 2º Cálculo III: Solución Ejercicios

EJS-EDOs-de-primer-orden.pdf
EJS-EDOs-de-primer-orden.pdf
EJS-EDOs-lineales-de-orden-superior.pdf
EJS-EDOs-lineales-de-orden-superior.pdf
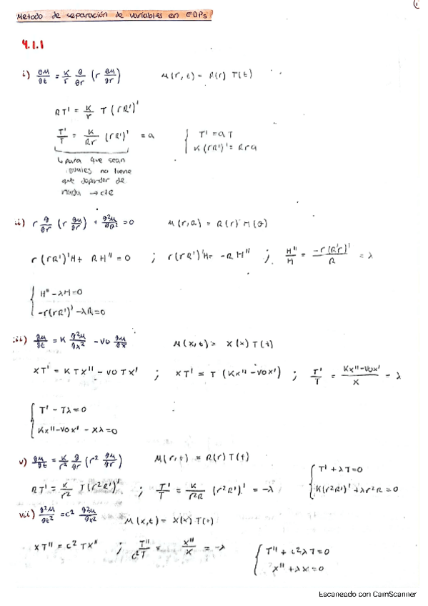
EJS-Metodo-de-separacion-de-variables-en-EDPs.pdf
EJS-Metodo-de-separacion-de-variables-en-EDPs.pdf

apuntes

-

Autoevaluaciones

He publicado nuevos apuntes de 2º Cálculo III: Autoevaluaciones

Autoevaluacion-1.pdf
Autoevaluacion-1.pdf
Autoevaluacion-2.pdf
Autoevaluacion-2.pdf
Autoevaluacion-3.pdf
Autoevaluacion-3.pdf

apuntes

-

Teoria

He publicado nuevos apuntes de 2º Cálculo III: Teoria

Cosas-que-hay-que-saber.pdf
Cosas-que-hay-que-saber.pdf
EDOs-de-orden-superior.pdf
EDOs-de-orden-superior.pdf
EDOs-de-primer-orden.pdf
EDOs-de-primer-orden.pdf

examenes

-

coleccion examenes finales (solucionados)

He publicado nuevos examenes de 2º Cálculo III: coleccion examenes finales (solucionados)

2015-extraord.pdf
2015-extraord.pdf
2015-ordinario.pdf
2015-ordinario.pdf
2016-ordinario.pdf
2016-ordinario.pdf
Anónimo

@Anónimo

He publicado nuevos apuntes de 2º Cálculo III: Apuntes-Calculo-III.pdf

5 páginas

He publicado nuevos ejercicios de 2º Cálculo III: Problems-Chapter-2.pdf

13 páginas

He publicado nuevos ejercicios de 2º Cálculo III: Problems-Chapter-1.pdf

27 páginas
Anónimo

@Anónimo

He publicado nuevos examenes de 2º Cálculo III: Parcial2-2023-sol.pdf

3 páginas
Anónimo

@Anónimo

He publicado nuevos examenes de 2º Cálculo III: Parcial1-2023-sol.pdf

3 páginas

He publicado nuevos examenes de 2º Cálculo III: segundo-parcial-calculo-23-23.pdf

1 página

He publicado nuevos examenes de 2º Cálculo III: segundo-parcial-2023-2024-grupo-34.pdf

1 página

He publicado nuevos apuntes de 2º Cálculo III: Autoevaluacion2--sol 2023.pdf

2 páginas

He publicado nuevos examenes de 2º Cálculo III: Autoevaluacion2-2023.pdf

1 página
Anónimo

@Anónimo

apuntes

-

1 parcial calculo III

He publicado nuevos apuntes de 2º Cálculo III: 1 parcial calculo III

calculoIII-1parcial-IIparte.pdf
calculoIII-1parcial-IIparte.pdf
calculoIII-1parcial-Iparte.pdf
calculoIII-1parcial-Iparte.pdf

He publicado nuevos examenes de 2º Cálculo III: Primer-parcial-2023.pdf

1 página
Anónimo

@Anónimo

He publicado nuevos apuntes de 2º Cálculo III: Calculo-III-apuntes-T2.pdf

5 páginas
Anónimo

@Anónimo

He publicado nuevos apuntes de 2º Cálculo III: Calculo-III-apuntes-T1.pdf

9 páginas
Anónimo

@Anónimo

He publicado nuevos ejercicios de 2º Cálculo III: Problemas-Calculo-III.pdf

21 páginas
Anónimo

@Anónimo

He publicado nuevos ejercicios de 2º Cálculo III: Soluciones-problemas-T2.pdf

4 páginas
Anónimo

@Anónimo

He publicado nuevos ejercicios de 2º Cálculo III: Soluciones-problemas-T1.pdf

7 páginas
Anónimo

@Anónimo

He publicado nuevos apuntes de 2º Cálculo III: Tema-1-Apuntes.pdf

13 páginas
Anónimo

@Anónimo

He publicado nuevos apuntes de 2º Cálculo III: Tema-2-Apuntes.pdf

11 páginas

He publicado nuevos examenes de 2º Cálculo III: autoevaluacion1-sol-2023.pdf

3 páginas

He publicado nuevos examenes de 2º Cálculo III: autoevaluacion1-2023.pdf

1 página

He publicado nuevos apuntes de 2º Cálculo III: Apuntes-Final-CalculoIII.pdf

6 páginas

He publicado nuevos ejercicios de 2º Cálculo III: Ejercicios-Calculo-III.pdf

60 páginas

He publicado nuevos apuntes de 2º Cálculo III: Apuntes-Calculo-III-completo.pdf

12 páginas

He publicado nuevos apuntes de 2º Cálculo III: Problems-CIII-2223-eng.pdf

21 páginas

He publicado nuevos apuntes de 2º Cálculo III: Chapter-5.pdf

10 páginas

He publicado nuevos apuntes de 2º Cálculo III: Chapter-4.pdf

9 páginas

He publicado nuevos apuntes de 2º Cálculo III: Chapter-3.pdf

10 páginas

He publicado nuevos apuntes de 2º Cálculo III: Chapter-2.pdf

10 páginas

He publicado nuevos apuntes de 2º Cálculo III: Chapter-1.pdf

13 páginas

He publicado nuevos apuntes de 2º Cálculo III: Parcial-2017-2.pdf

4 páginas

He publicado nuevos apuntes de 2º Cálculo III: Parcial-2017.pdf

4 páginas

He publicado nuevos apuntes de 2º Cálculo III: Enero-2018.pdf

5 páginas

He publicado nuevos apuntes de 2º Cálculo III: Parcial-2017-1.pdf

7 páginas

Problemas con enunciado para practicar

30 páginas

He publicado nuevos ejercicios de 2º Cálculo III: EJERCICIOS-DE-CLASE.pdf

23 páginas

He publicado nuevos apuntes de 2º Cálculo III: Apuntes-CIII-GIT-19-20-cap-5-1.pdf

30 páginas

He publicado nuevos apuntes de 2º Cálculo III: Problemas-CIII-GIT-19-20-sol-cap-1.pdf

7 páginas