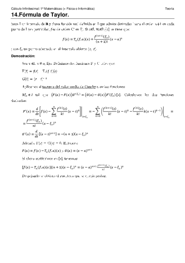
14-Formula-de-Taylor.pdf

Anónimo

Teoría

17 archivos·

8-Teorema-de-Bolzano.pdf

1 página

7-Criterio-secuencial-para-limites-finitos.pdf

1 página

6-Caracterizacion-secuencial-de-los-conjuntos-compactos.pdf

1 página

2-Monotonia-acotacion-y-convergencia.pdf

1 página

5-Criterio-de-converngencia-de-Cauchy.pdf

2 páginas

4-Teorema-de-Bolzano-Weierstrass.pdf

1 página

1-Propiedad-Arquimediana-parte-entera-y-densidad-de-Q-en-R.pdf

2 páginas

3-Principio-de-los-intervalos-encajados.pdf

2 páginas

9-Teorema-de-Weierstrass.pdf

1 página

10-Teorema-de-Heine.pdf

1 página

12-Regla-de-la-cadena.pdf

1 página

11-Derivabilidad-y-diferenciabilidad.pdf

1 página

13-Teoremas-del-valor-medio-del-calculo-diferencial.pdf

1 página

Temas-de-teoria.pdf

1 página

14-Formula-de-Taylor.pdf

1 página

15-Condicion-suficiente-de-extremos-relativos.pdf

1 página

16-Criterio-de-comparacion-para-series-de-terminos-positivos.pdf

2 páginas

content_copy

Archivos recomendados