Cálculo Multivariable

chevron_left
chevron_right
Todo
Apuntes
Exámenes
Otros
Prácticas
Trabajos
chevron_left
chevron_right

He publicado nuevos apuntes de 1º Cálculo Multivariable: examexullo2025.pdf

2 páginas

He publicado nuevos apuntes de 1º Cálculo Multivariable: examexuno2025.pdf

2 páginas

He publicado nuevos apuntes de 1º Cálculo Multivariable: examexuno2023cm.pdf

2 páginas

He publicado nuevos practicas de 1º Cálculo Multivariable: Boletin-5.pdf

6 páginas
Anónimo

@Anónimo

He publicado nuevos examenes de 1º Cálculo Multivariable: CMParcial12025.pdf

2 páginas

apuntes

-

Calculo multivariable

He publicado nuevos apuntes de 1º Cálculo Multivariable: Calculo multivariable

1.-Vectores-angulo-entre-dos-vectores-producto-cruz-y-funciones-vectoriales.pdf
2.-Limites-de-funciones-vectoriales.pdf
3.-Funciones-vectoriales-y-derivada-de-una-funcion-vectorial.pdf
4.-Curva-suave-derivada-de-orden-superior-y-derivada.pdf
5.-Imtegracion-de-funciones-vectoriales-y-metodos-de-integracion.pdf
6.-Funciones-vectoriales-de-longitud-de-arco-y-parametrizacion-de-logitud-de-arco.pdf

He publicado nuevos apuntes de 1º Cálculo Multivariable: Integracion-Calculo.pdf

8 páginas

Pequeño resumen básico que hay que saber bien

1 página

He publicado nuevos apuntes de 1º Cálculo Multivariable: TEMA-3DERIVADAS.pdf

7 páginas

He publicado nuevos apuntes de 1º Cálculo Multivariable: Tema-1CALCULO.pdf

13 páginas

He publicado nuevos apuntes de 1º Cálculo Multivariable: 3.-Derivacion-y-extremos.pdf

7 páginas

He publicado nuevos apuntes de 1º Cálculo Multivariable: 2.-Limites-y-continuidad.pdf

4 páginas

He publicado nuevos otros de 1º Cálculo Multivariable: Algebra-lineal-fundamentos.pdf

21 páginas

He publicado nuevos apuntes de 1º Cálculo Multivariable: Momento-Centro-de-Masa-e-Integrales-Triples.pdf

4 páginas

He publicado nuevos apuntes de 1º Cálculo Multivariable: Integrales-dobles-y-Transformaciones.pdf

5 páginas

He publicado nuevos apuntes de 1º Cálculo Multivariable: MATH3-SURFACE-INTEGRAL.pdf

4 páginas

He publicado nuevos apuntes de 1º Cálculo Multivariable: MATH-3-CAMPOS.pdf

2 páginas

He publicado nuevos apuntes de 1º Cálculo Multivariable: MATH-3-LINE-INTEGRAL.pdf

2 páginas

He publicado nuevos apuntes de 1º Cálculo Multivariable: FVVR.pdf

34 páginas

He publicado nuevos apuntes de 1º Cálculo Multivariable: Texto-2.pdf

25 páginas

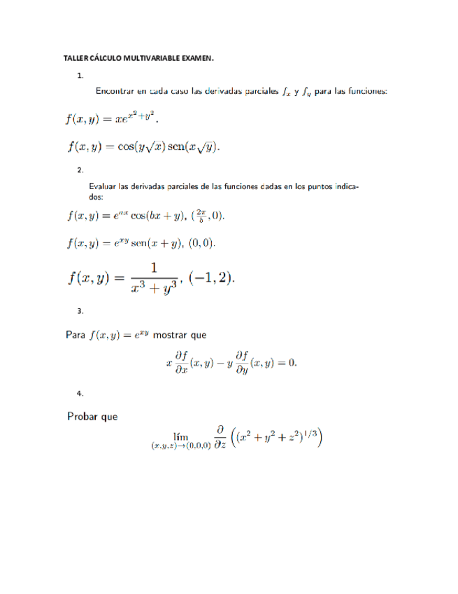
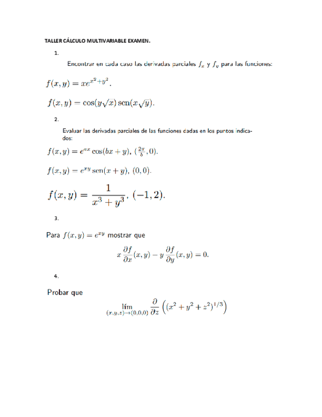
He publicado nuevos trabajos de 3º Cálculo Multivariable: TALLER-CALCULO-MULTIVARIABLE-EXAMEN.pdf

2 páginas

He publicado nuevos trabajos de 3º Cálculo Multivariable: TALLER-2-LIMITES-DE-FUNCIONES-DE-DOS-VARIABLES..pdf

1 página

He publicado nuevos trabajos de 3º Cálculo Multivariable: TALLER-1-FUNCIONES-VECTORIALES.pdf

1 página

He publicado nuevos apuntes de 3º Cálculo Multivariable: RESUMEN-FUNCIONES-VECTORIALES.pdf

14 páginas

He publicado nuevos apuntes de 3º Cálculo Multivariable: EJERCICIOS-DE-LIMITES-DE-DOS-VARIABLES.pdf

9 páginas

He publicado nuevos apuntes de 3º Cálculo Multivariable: CALCULO3-TODO-EL-TEMA.pdf

139 páginas

He publicado nuevos examenes de 2º Cálculo Multivariable: Examen-3er-parcial.pdf

3 páginas

He publicado nuevos apuntes de 1º Cálculo Multivariable: Vectorial4.pdf

9 páginas

He publicado nuevos apuntes de 1º Cálculo Multivariable: Vectorial3.pdf

8 páginas

He publicado nuevos apuntes de 1º Cálculo Multivariable: Vectorial2.pdf

5 páginas

He publicado nuevos apuntes de 1º Cálculo Multivariable: Vectorial1.pdf

4 páginas

He publicado nuevos apuntes de 1º Cálculo Multivariable: ApuntesVectorial.pdf

23 páginas

He publicado nuevos apuntes de 1º Cálculo Multivariable: Dominio-e-imagen.pdf

8 páginas

He publicado nuevos examenes de 1º Cálculo Multivariable: examenes-pasados-calculo-multivariable-primeras-pcs.pdf

56 páginas

He publicado nuevos examenes de 1º Cálculo Multivariable: examenes-pasados-de-calculo-multivariable-segunda-pc.pdf

43 páginas

seminario para el examen parcial

5 páginas

He publicado nuevos apuntes de 1º Cálculo Multivariable: CLASE-UNO.pdf

23 páginas

He publicado nuevos trabajos de 3º Cálculo Multivariable: Taller-de-repaso-del-parcial.pdf

2 páginas

He publicado nuevos trabajos de 3º Cálculo Multivariable: Taller-1-calculo.pdf

12 páginas

He publicado nuevos trabajos de 3º Cálculo Multivariable: calculo-trabajo.pdf

13 páginas

He publicado nuevos trabajos de 3º Cálculo Multivariable: taller-integral-doble.pdf

8 páginas

He publicado nuevos apuntes de 3º Cálculo Multivariable: Apuntes-y-formulas230222233818.pdf

17 páginas

He publicado nuevos apuntes de 3º Cálculo Multivariable: PROYECTO-CALCULO-MULTIBARIABLE.pdf

12 páginas
¡Estás al día!

¡Estás al día!

Has visto todos los archivos