
Grado en Ciencia e Ingeniería de Datos (UDC)
A Coruña
Sube tus apuntes
arrow_forwardAsignaturas de Grado en Ciencia e Ingeniería de Datos (UDC)
Asignatura
arrow_downward1º
•
16 posts
4º
•
1 posts
4º
•
0 posts
2º
•
0 posts
3º
•
1 posts
3º
•
1 posts
3º
•
0 posts
1º
•
12 posts
4º
•
2 posts
2º
•
1 posts
4º
•
0 posts
1º
•
39 posts
1º
•
14 posts
1º
•
5 posts
4º
•
0 posts
1º
•
6 posts
1º
•
19 posts
1º
•
19 posts
4º
•
0 posts
1º
•
16 posts
4º
•
0 posts
2º
•
0 posts
2º
•
0 posts
2º
•
0 posts
4º
•
0 posts
1º
•
23 posts
3º
•
0 posts
3º
•
0 posts
3º
•
0 posts
4º
•
0 posts
3º
•
1 posts
2º
•
0 posts
4º
•
0 posts
4º
•
0 posts
3º
•
0 posts
2º
•
6 posts
4º
•
0 posts
Últimas publicaciones de Grado en Ciencia e Ingeniería de Datos (UDC)
Ejercicios del tema 4 de aplicaciones lineales con solución y anotaciones en los ejercicios resueltos para recordar teoría.
Ejercicios de espacios vectoriales con solución y enunciados.
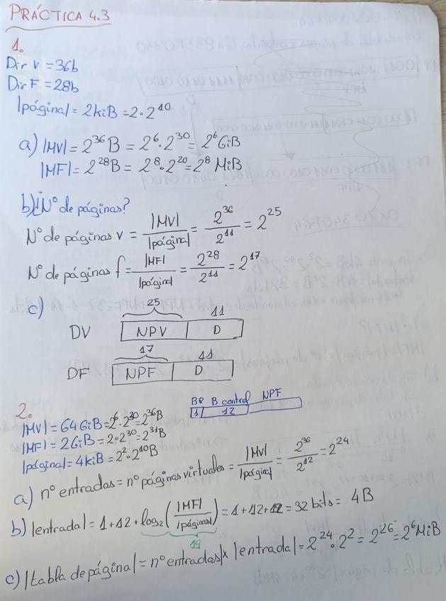
Apuntes sobre la memoria virtual, el espacio virtual, sistemas paginados, traduccion directa, paginación en dos niveles.
Explicación de la memoria caché, la caché por corresponde directa, totalmente asociativa y asociativa por conjuntos. También se explica la escritura en la caché y el rendimiento en la caché (tasa de fallos y aciertos).
Apuntes de la memoria principal donde se explica la jerarquía de memoria, principio de localidad y temporal, conflictos de memoria y entrelazamiento de orden superior e inferior.
He publicado nuevos apuntes de 1º Fundamentos de Computadores: Metricas-rendimiento.pdf
Apuntes del tema 2 de representación de la información.
He publicado nuevos apuntes de 1º Matemática Discreta: Tema-1-razonamiento-logico-1.pdf
Actualizados e acabados os resúmenes dos temas de Datos en Mobilidade.
Resumo de temas adicionais de XDEi sobre axentes IA e desenvolvemento web.
Resumo dos temas teóricos de Xestión de Datos en Escenarios Intelixentes.
He publicado nuevos apuntes de 1º Cálculo Multivariable: examexullo2025.pdf
He publicado nuevos apuntes de 1º Cálculo Multivariable: examexuno2023cm.pdf
apuntes
-
Álgebra Boletines
He publicado nuevos apuntes de 1º Álgebra Lineal: Álgebra Boletines
Ejercicios resueltos sobre el funcionamiento del ciclo de instrucción, decodificación de código de operación, manejo del acumulador, y el cálculo de direcciones de salto en instrucciones tipo I (addi, bne, beq) y tipo J. Incluye ejemplos prácticos de cómo
Guía compacta y esencial para la asignatura de Arquitectura de Computadores, centrada en la arquitectura MIPS. Incluye los conceptos clave necesarios para resolver problemas de diseño de procesadores y análisis de rendimiento.
Este PDF incluye ejercicios resueltos de Matemática Discreta, enfocados en conjuntos, aplicaciones y relaciones. Perfecto para repasar antes de exámenes.
Ejercicios resueltos sobre entrelazamiento de memoria, cálculo de direcciones físicas y lógicas y organización de memoria. Explicado paso a paso como se pide en los exámenes de Fundamentos de Computadores.
Ejercicios resueltos de programación en MIPS centrados en los formatos de instrucción (R, I, J), uso de registros, codificación de instrucciones y traducción desde pseudocódigo. Explicado paso a paso de estilo práctico y orientado a examen.
Guía breve de técnicas de combinatoria (variaciones, permutaciones, combinaciones) y resolución de recurrencias y combinatoria con ejercicios resueltos paso a paso. Incluye ejemplos típicos de examen.
ejercicios
-
Rendimiento-y-evaluacion-Ejercicios-resueltos-tipo-examen-Fundamentos-de-Computadores.pdf
Problemas resueltos sobre evaluación del rendimiento: tiempo de ejecución, CPI, frecuencia de reloj, speedup, ley de Amdahl y comparación de arquitecturas. Explicado paso a paso y con los errores típicos que se cometen en el examen.
Ejercicios resueltos de programación en ensamblador MIPS. Se explica cómo traducir estructuras de alto nivel a MIPS, uso de registros y saltos condicionales. Ejercicios tipo examen.
Ejercicios resueltos sobre representación de números en punto flotante según el estándar IEEE 754. Incluye conversión de decimal a binario, normalización, cálculo de exponente y mantisa, detección de errores típicos y explicación paso a paso. Muy útil par
Ejercicios resueltos de arquitectura MIPS y formatos de instrucciones, explicados paso a paso para preparar el examen de Fundamentos de Computadores. Incluye problemas típicos y casos frecuentes.
Recopilación de ejercicios de examen de Fundamentos de Computadores, resueltos paso a paso. Ideal para practicar y preparar el examen con problemas reales.
Ejercicios resueltos de fallos de caché y rendimiento, explicados paso a paso para preparar el examen de Fundamentos de Computadores. Incluye problemas frecuentes.
He subido ejercicios resueltos de memoria virtual y paginación, paso a paso para el examen. ¿Os viene bien este tipo de ejercicios para estudiar?
Ejercicios resueltos paso a paso para repasar memoria virtual y paginación. Ideal para preparar examen.
Ejercicios resueltos de memoria principal y memoria caché de Fundamentos de Computadores. Incluye resolución paso a paso para entender los problemas tipo examen y poder practicar.
Resumen de conjuntos, aplicaciones y relaciones en Matemática Discreta. Incluye explicaciones claras y ejemplos para entender los conceptos y aplicarlos en ejercicios.
Hoja de fórmulas de probabilidad y estadística básica. Perfecta para repasar rápido antes del examen y tener todas las fórmulas clave en un solo documento.
Resumen de lógica proposicional y razonamiento lógico en Matemática Discreta. Incluye explicaciones breves y ejemplos para entender conectores, tablas de verdad y resolución de ejercicios. Ideal para repasar antes del examen y practicar de forma rápida.
Ejercicios resueltos sobre Aritmética Binaria y Enteros (correspondería al boletín 2.1 si estáis en 1º de ciencia e ingenieria de datos). Pasar números entre decimal, binario y hexadecimal, cómo representar enteros negativos usando Signo y Magnitud, Comp
Resumen de instrucciones básicas para Unix. Explica cómo escribir correctamente cada instrucción, su propósito y cómo utilizarlas correctamente para hacer tareas y ejercicios prácticos.
Guía rápida sobre las instrucciones Tipo R, tipo I y para qué sirven. Imprescindible para poder hacer los ejercicios del simulador MIPS.
He publicado nuevos trabajos de 4º Datos en Movilidad: FormularioTema2.pdf
Análisis Estadístico de Datos Complejos · Análise Estatística de Datos Complexos
Parte teórica de AEDC para o exame do luns 🍀
examenes
-
Algebra Lineal 1º
He publicado nuevos examenes de 1º Álgebra Lineal: Algebra Lineal 1º
Xa están publicados os apuntes de teoría de RXDET e do segundo bloque de AEDC:)
Temas 4 e 5 de Análise Estatística de Datos Complezos. Bloque: datos funcionais.
Organizado según modelos anteriores de exámenes de primera oportunidad, incluye también explicaciones de algoritmos tipo tgr