Cálculo Numérico II

chevron_left
chevron_right
Todo
Apuntes
Ejercicios
Exámenes
Prácticas
Test
chevron_left
chevron_right

ejercicios

-

Ejercicios Cálculo Numérico II

He publicado nuevos ejercicios de 2º Cálculo Numérico II: Ejercicios Cálculo Numérico II

Tema 2 - Condicionamiento de sistemas lineales.pdf
Tema 1 - Matrices y normas.pdf
Tema 3 - Métodos iterativos de resolución de sistemas lineales.pdf
Tema 4 - Resolución de sistemas no lineales.pdf

Profesora: María Ángeles Rodríguez Bellido

4 páginas

Profesora: María Ángeles Rodríguez Bellido

7 páginas

Profesora: María Ángeles Rodríguez Bellido

4 páginas

Profesora: María Ángeles Rodríguez Bellido

3 páginas

apuntes

-

Teoría cálculo numérico II

He publicado nuevos apuntes de 2º Cálculo Numérico II: Teoría cálculo numérico II

Tema 1 - Elementos de álgebra lineal. Normas.pdf
Tema 2 - Condicionamiento de matrices.pdf
Tema 3 - Métodos iterativos de resolución de sistemas lineales.pdf
Tema 4 - Resolución de sistemas de ecuaciones no lineales.pdf

apuntes

-

APUNTES CLASE DE TODOS LOS TEMAS DE CNII

He publicado nuevos apuntes de 2º Cálculo Numérico II: APUNTES CLASE DE TODOS LOS TEMAS DE CNII

CNII-TEMA-1-ELEMENTOS-DE-ALGEBRA-LINEAL-Y-NORMAS-APUNTES-DE-CLASE--EJERCICIOS.pdf
CNII-TEMA-2-CONDICIONAMIENTO-DE-MATRICES-APUNTES-DE-CLASE--EJERCICIOS.pdf
CNII-TEMA-3-METODOS-ITERATIVOS-DE-RESOLUCION-DE-SISTEMAS-LINEALES-APUNTES-DE-CLASE-DEMOSTRACIONES-Y-EJERCICIOS.pdf
CNII-TEMA-4-RESOLUCION-DE-SISTEMAS-DE-ECUACIONES-NO-LINEALES-APUNTES-DE-CLASE-DEMOSTRACIONES-Y-EJERCICIOS.pdf
CNII-TEMA-5-LOCALIZACION-Y-APROXIMACION-DE-AUTOVALORES-Y-AUTOVECTORES-APUNTES-DE-CLASE-DEMOSTRACIONES-Y-EJERCICIOS.pdf

apuntes

-

Ejercicios resueltos y Numérico II

No he hecho de todos los temas, lo siento !!

Tema-1-completo.pdf
Tema-2-completo.pdf

Apuntes con demostraciones

2 páginas

Ejercicios T2

2 páginas

apuntes

-

Apuntes Teoría Cálculo Numérico II

Apuntes de la asignatura tomados en clase. Iré subiéndolos a medida que los demos/haga :)

Tema 1. Elementos del álgebra lineal. Normas.pdf
Tema-2.-Condicionamiento-de-matrices.pdf
Tema-3.-Metodos-iterativos-de-resolucion-de-sistemas-lineales.pdf
Tema-4.-Resolucion-de-sistemas-de-ecuaciones-no-lineales.pdf

He publicado nuevos apuntes de 2º Cálculo Numérico II: TIPS-MATLAB-CNII.pdf

2 páginas

ejercicios

-

TODOS BOLETINES RESUELTOS

He publicado nuevos ejercicios de 2º Cálculo Numérico II: TODOS BOLETINES RESUELTOS

Boletin-CNII-Parcial1.pdf
Boletin-CNII-Parcial2.pdf

Todos los ejercicios del Tema 1 resueltos

2 páginas

Resumen con demostraciones

4 páginas

He publicado nuevos apuntes de 2º Cálculo Numérico II: Resumen-Tema-1-Numerico-II.pdf

4 páginas

He publicado nuevos apuntes de 2º Cálculo Numérico II: Resumen-Tema-2-Numerico-II.pdf

3 páginas

ejercicios

-

CNII Ejs

He publicado nuevos ejercicios de 2º Cálculo Numérico II: CNII Ejs

CNII-Problemas-Terma-l.pdf

apuntes

-

RESUMEN APUNTES DE TODOS LOS TEMAS DE CNII

He publicado nuevos apuntes de 2º Cálculo Numérico II: RESUMEN APUNTES DE TODOS LOS TEMAS DE CNII

CNII-RESUMEN-APUNTES-TEMA-1-ELEMENTOS-DE-ALGEBRA-LINEAL-Y-NORMAS.pdf
CNII-RESUMEN-APUNTES-TEMA-2-CONDICIONAMIENTO-DE-MATRICES.pdf

Apuntes con demostraciones

2 páginas

Apuntes del Tema 1 con demostraciones

3 páginas

ejercicios

-

Ejercicios CNII

Todos los ejercicios de cálculo numérico 2

Problemas-CNII-1.pdf
Problemas-CNII-2.pdf
Problemas-CNII-3.pdf

apuntes

-

Teoría

He publicado nuevos apuntes de 2º Cálculo Numérico II: Teoría

1_Normas_Matriciales_Condicionamiento_de_SL.pdf
5-Interpolacion-y-aproximacion.pdf
2-Metodos-iterativos-de-resolucion-de-sistemas-lineales.pdf
3-Localizacion-y-Aproximacion-de-Autovectores-y-Autovalores.pdf
4-Resolucion-de-SENL.pdf
6-Resolucion-Numerica-de-EDOs.pdf

ejercicios

-

Boletines Resueltos

He publicado nuevos ejercicios de 2º Cálculo Numérico II: Boletines Resueltos

1_Matrices_y_Normas.pdf
1_Condicionamiento_de_SL.pdf
2-Metodos-iterativos-de-resolucion-de-SL.pdf
3-Localizacion-y-Aproximacion-de-Autovectores-y-Autovalores.pdf
4-Aproximacion-de-sistemas-no-lineales.pdf
5-Interpolacion-polinomica.pdf

apuntes

-

Resumenes

He publicado nuevos apuntes de 2º Cálculo Numérico II: Resumenes

Resumen-primer-parcial-NUMERICO-II.pdf

practicas

-

Ejercicios NUMÉRICO II

He publicado nuevos practicas de 2º Cálculo Numérico II: Ejercicios NUMÉRICO II

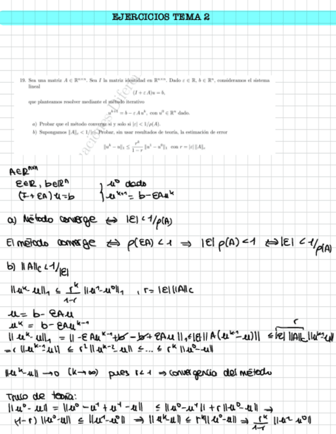
Ejercicios-tema-2-NUMERICO-II.pdf

He publicado nuevos ejercicios de 2º Cálculo Numérico II: EJERCICIOS-RESUELTOS-MATLAB.pdf

31 páginas

He publicado nuevos apuntes de 2º Cálculo Numérico II: resumenes-numerico-2.pdf

10 páginas

Resumen de todos los temas sin las demostraciones

19 páginas

apuntes

-

APUNTES TODOS LOS TEMAS

Apuntes de todos los temas (1-6) de Cálculo Numérico II

Tema-1-Elementos-Del-Algebra-Lineal.pdf
Tema-2-Metodos-Iterativos-Para-La-Resolucion-De-Sistemas-Lineales.pdf
Tema-3-Localizacion-Y-Aproximacion-de-Autovectores-y-Autovalores.pdf
Tema-4-Resolucion-de-Sistemas-de-Ecuaciones-No-Lineales.pdf
Tema-5-Interpolacion-Polinomica-y-Ajuste-de-Curvas.pdf
Tema-6-Resolucion-Numerica-de-EDOs.pdf

He publicado nuevos practicas de 2º Cálculo Numérico II: Resumen-funciones-Matlab.pdf

4 páginas

He publicado nuevos apuntes de 2º Cálculo Numérico II: Demostraciones-P2-CNII..pdf

2 páginas

Resumen de cosas importantes a la hora de hacer problemas

4 páginas

practicas

-

EJERCICIOS MATLAB RESUELTOS

He publicado nuevos practicas de 2º Cálculo Numérico II: EJERCICIOS MATLAB RESUELTOS

EJERCICIOS1al11.pdf
EJERCICIOS12al15.pdf
EJERCICIOS16al18.pdf
EJERCICIOS23y24.pdf
EJERCICIOS25al38.pdf
EJERCICIOS39al44.pdf

examenes

-

EXAMENES MATLAB

He publicado nuevos examenes de 2º Cálculo Numérico II: EXAMENES MATLAB

Halley.pdf
Examenparcial.pdf
EXAMENPARCIAL2024PMR.pdf

ejercicios

-

EJERCICIOS RESUELTOS

He publicado nuevos ejercicios de 2º Cálculo Numérico II: EJERCICIOS RESUELTOS

EJERCICIOS-TEMA-1-CN.pdf
EJERCICIOS-TEMA-2-CN.pdf
EJERCICIOS-TEMA-3-CN.pdf
EJERCICIOS-TEMA-4-CN.pdf
EJERCICIOS-TEMA-5-CN.pdf
EJERCICIOS-TEMA-6-CN.pdf

He publicado nuevos ejercicios de 2º Cálculo Numérico II: Boletines-segunda-parte.pdf

41 páginas

Primer Parcial de 2022 solucionado (por mi)

7 páginas

Primer Parcial del Grupo 1 (de 2021) resuelto

7 páginas

apuntes

-

EXÁMENES (Algunos resueltos)

He publicado nuevos apuntes de 2º Cálculo Numérico II: EXÁMENES (Algunos resueltos)

1Convocatoria.pdf
2Convocatoria.pdf
3Convocatoria.pdf
ParcialTemas1234GrupoB.pdf
ParcialTemas56GrupoB.pdf

Todas las demos del Tema 1

7 páginas

He publicado nuevos ejercicios de 2º Cálculo Numérico II: Boletines-primera-parte.pdf

32 páginas

EXPLICACIÓN A MANO

2 páginas

He publicado nuevos apuntes de 2º Cálculo Numérico II: MATLABRESUMENMUYEXPLICADO.pdf

13 páginas

He publicado nuevos examenes de 2º Cálculo Numérico II: PRIMER-Y-SEGUNDO-PARCIAL-CNII.pdf

2 páginas

apuntes

-

APUNTES de casi todos los temas

He publicado nuevos apuntes de 2º Cálculo Numérico II: APUNTES de casi todos los temas

Apuntes-Tema-1-Elementos-de-Algebra-Lineal-Normaswatermarked.pdf
Apuntes-Tema-2-Metodos-iterativos-de-resolucion-de-sistemas-linealeswatermarked.pdf
Apuntes-Tema-3-Localizacion-y-aproximacion-de-autovalores-y-autovectoreswatermarked.pdf
Apuntes-Tema-4-Resolucion-de-Sistemas-de-Ecuaciones-no-Linealeswatermarked.pdf
Apuntes-Tema-5-Interpolacion-Polinomica-Avanzada-y-Ajuste-de-Curvaswatermarked.pdf

ejercicios

-

Algunos EJERCICIOS RESUELTOS

He publicado nuevos ejercicios de 2º Cálculo Numérico II: Algunos EJERCICIOS RESUELTOS

Problemas-U1watermarked.pdf
Problemas-U2watermarked.pdf
Problemas-U3watermarked.pdf
Problemas-U4watermarked.pdf
Problemas-U5watermarked.pdf
Problemas-U6watermarked.pdf

He publicado nuevos apuntes de 2º Cálculo Numérico II: resumen-todo-temario-CNII.pdf

10 páginas

ejercicios

-

Ejercicios de todos los temas

He publicado nuevos ejercicios de 2º Cálculo Numérico II: Ejercicios de todos los temas

Ejercicios-tema-1.pdf
Ejercicios-tema-2.pdf
Ejercicios-tema-3.pdf
Ejercicios-tema-4.pdf
Ejercicios-tema-5-Parte-1.pdf
Ejercicios-tema-5-Parte-2.pdf

He publicado nuevos examenes de 2º Cálculo Numérico II: primera-prueba-parcial-numerico-II.pdf

1 página

He publicado nuevos apuntes de 2º Cálculo Numérico II: Teoria-CNII-2oParcial.pdf

9 páginas

He publicado nuevos apuntes de 2º Cálculo Numérico II: Teoria-CNII-1erParcial.pdf

3 páginas

He publicado nuevos apuntes de 2º Cálculo Numérico II: Demostraciones-CNII-1erParcial.pdf

13 páginas

He publicado nuevos examenes de 2º Cálculo Numérico II: Examen-Resuelto-Julio-2021.pdf

7 páginas
Anónimo

@Anónimo

examenes

-

Exámenes numérico

He publicado nuevos examenes de 2º Cálculo Numérico II: Exámenes numérico

CN2-PIS1-2223.pdf
CN2-PIS2-2223.pdf
CN2-Segunda-Convocatoria2223.pdf
2021Parcial11.pdf
2021Parcial21.pdf
04122024.pdf

He publicado nuevos examenes de 2º Cálculo Numérico II: Examen-Resuelto-Junio-2021.pdf

6 páginas

ejercicios

-

ejercicios resueltos matlab

He publicado nuevos ejercicios de 2º Cálculo Numérico II: ejercicios resueltos matlab

EJERCICIOS-RESUELTOS-MATLAB-parte1.pdf
EJERCICIOS-RESUELTOS-MATLAB-parte2.pdf

He publicado nuevos examenes de 2º Cálculo Numérico II: EJERCICIOS-EXAMENES-MATLAB.pdf

7 páginas

examenes

-

EXAMEN MATLAB 2024 GRUPO D

He publicado nuevos examenes de 2º Cálculo Numérico II: EXAMEN MATLAB 2024 GRUPO D

EXAMEN-RESUELTO-MATLAB-PARCIAL-GRUPO-D-15-mayo-2024.pdf
Miniatura no disponible
datos1.dat

He publicado nuevos examenes de 2º Cálculo Numérico II: examen-matlab-parcial-grupo-d-2024.pdf

2 páginas