Portada
Asignatura
Grado en Ingeniería Telemática (UMA)
Cálculo y Análisis Vectorial
Fecha de subida
05 feb 2020
Categoría
ejercicios
Etiquetas
Apuntes - Libreta-Calculo.pdf
pdf
128 páginas
339
0
Exámenes - septiembre-2019-resuelto.pdf
8 páginas
133
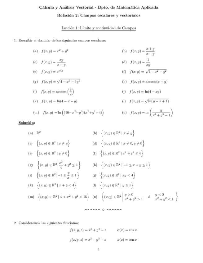
Ejercicios - Solucion-Relacion-2.pdf
41 páginas
114
1
Exámenes - examen-calculo-febrero-2020.pdf
1 página
112
Exámenes - febrero-2019-resuelto.pdf
7 páginas
124
Exámenes - 2223-Ejercicios-Sueltos-De-Examenes.pdf
19 páginas
98
3
Ejercicios - Solucion-relacion1.pdf
70 páginas
101
2
Exámenes - febrero-2017-resuelto.pdf
99
Exámenes - septiembre-2018-resuelto.pdf
110
Apuntes - FORMULARIO-PARA-APROBAR-MATES-1.pdf
4 páginas
60
Apuntes - 22/23 - Resúmenes Con Ejemplos Examen Final Calculo.pdf
81 páginas
67
Ejercicios - NuevoDocumento-2019-11-04-13.pdf
85
Exámenes - febrero-2018-resuelto.pdf
6 páginas
88
Exámenes - Septiembre-2016-resuelto.pdf
102
Exámenes - Septiembre-2017-resuelto.pdf
5 páginas
Ejercicios - Solucion-relacion-3.pdf
49 páginas
76
Exámenes - Febrero-2016-resuelto.pdf
78
Ejercicios - Ejercicios-Resueltos-Tema-2.pdf
42
Apuntes - T2-mates.pdf
45
5
Apuntes - T5-series.pdf
21 páginas
32