tomylv
125 ejercicios de Integrales indefinidas resueltas por métodos de (sustitución, por partes y fracciones parciales)
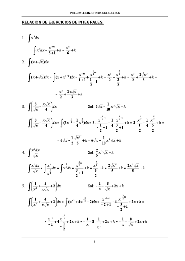
125-ejercicios-de-Integrales-indefinidas-resueltas-sustitucion-por-partes-y-fracciones-parciales.pdf
32 páginas
Ejercicios - 100-derivadas-resueltas-32-71.pdf
pdf
5 páginas
16
0
Ejercicios - 100-derivadas-resueltas-18-31.pdf
4 páginas
14
Ejercicios - 100-derivadas-resueltas-1-17.pdf
13 páginas
18
1
Apuntes - Regla-falsa.pdf
1 página
4
Ejercicios - 125-ejercicios-de-Integrales-indefinidas-resueltas-sustitucion-por-partes-y-fracciones-parciales.pdf
3
Ejercicios - 100-derivadas-resueltas-72-100.pdf
3 páginas
7
Trabajos - Ensayo-de-Ecuaciones-Exponenciales.pdf
6
Apuntes - Infinito-actual-y-potencial.pdf
Trabajos - Ensayo-de-Polinomios.pdf
2 páginas
5
2
Apuntes - Numeros-imaginarios-2.pdf
Apuntes - Formulario-de-Calculo-Diferencial-e-Integral.pdf
8 páginas
Trabajos - Informe-Operaciones-con-polinomios.pdf
Trabajos - Informe-Teorema-del-resto-y-teorema-del-factor.pdf
Trabajos - Ensayo-de-Ecuaciones-Cuadraticas.pdf
Trabajos - Informe-de-Regla-de-Cadena-para-Derivadas-Parciales.pdf
Apuntes - NotasDeContabilidad.pdf
7 páginas
Apuntes - limites-trignometricos.pdf
10
Trabajos - Ensayo-de-Potenciacion.pdf
Trabajos - Ensayo-de-Radicales.pdf
Trabajos - Ensayo-de-Rectangulo.pdf