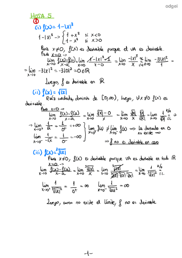
HOJA-5-solucion-mia.pdf

odgei

Cálculo

11 archivos·

TEMA-3-SERIES.pdf

14 páginas

TEMA-6-INTEGRACION.pdf

25 páginas

TEMA-2-SUCESIONES.pdf

17 páginas

RESUMEN-INTEGRALES.pdf

1 página

TEMA-5-DERIVABILIDAD.pdf

15 páginas

TEMA-4-LIMITES-Y-CONTINUIDAD.pdf

20 páginas

TEMA-1-LOS-NUMEROS-REALES.pdf

11 páginas

RESUMEN-LIMITES.pdf

1 página

HOJA-4-solucion-mia.pdf

18 páginas

HOJA-6-solucion-mia.pdf

14 páginas

HOJA-5-solucion-mia.pdf

17 páginas

content_copy

Archivos recomendados