Portada
Asignatura
Doble Grado en Ingeniería Informática y Matemáticas (URJC)
Cálculo
Fecha de subida
23 sep 2021
Categoría
apuntes
Etiquetas
Exámenes - Examenes-de-cursos-anteriores.pdf
pdf
8 páginas
22
1
Exámenes - Calculo. Parcial 1 2021-2022.pdf
10 páginas
8
0
Apuntes - Tema-5-Derivadas-Y-Aplicaciones.pdf
22 páginas
4
Apuntes - Tema-1.pdf
17 páginas
7
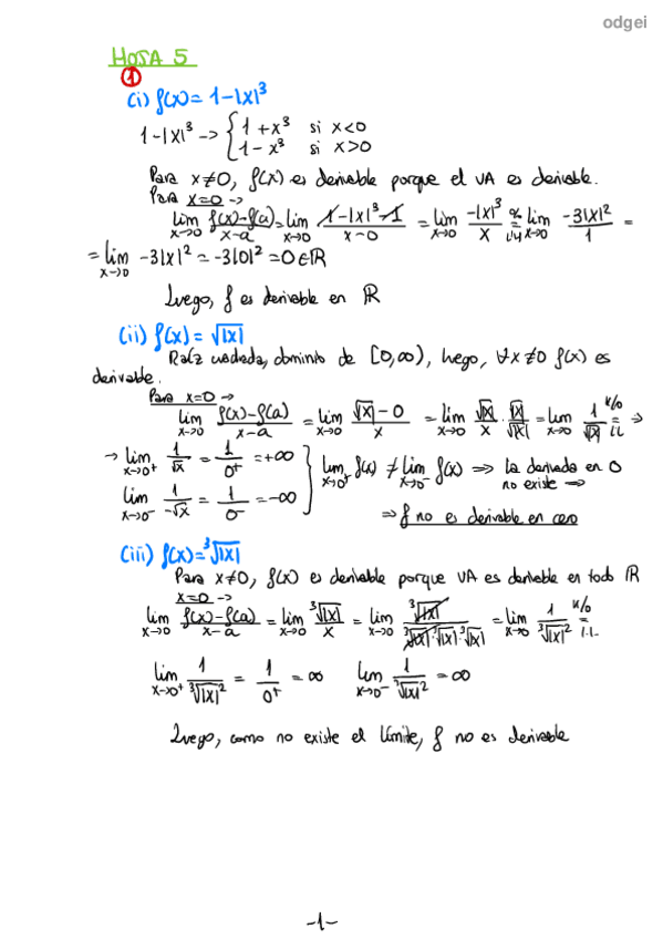
Apuntes - HOJA-4-solucion-mia.pdf
18 páginas
5
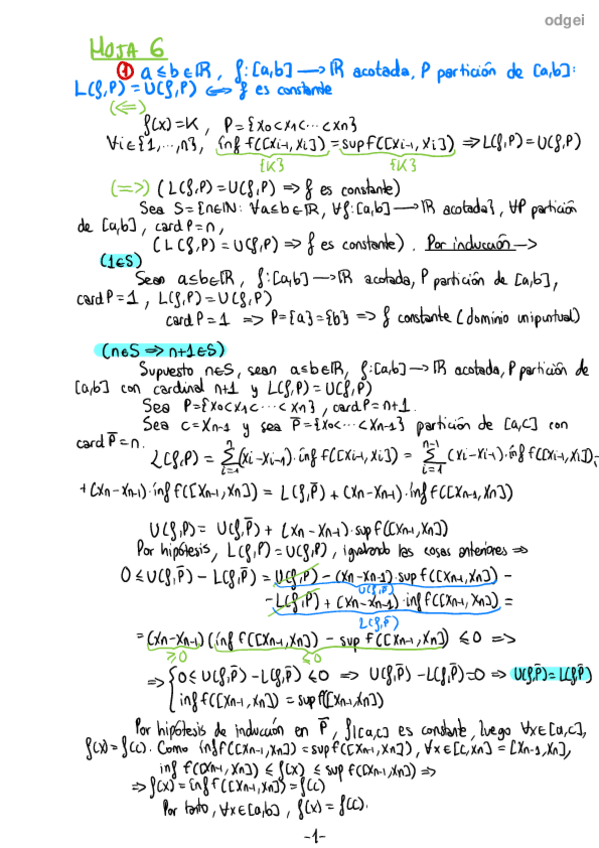
Apuntes - HOJA-6-solucion-mia.pdf
14 páginas
Apuntes - Tema-2.pdf
5 páginas
2
Exámenes - Calculo Final 2021-2022.pdf
Apuntes - Tema-5-ejerciciosderivadas.pdf
Apuntes - Tema-6-Integracion-De-Riemann.pdf
23 páginas
Apuntes - Tema-3.pdf
19 páginas
Apuntes - Tema-7-Integrales-impropias-y-TVM.pdf
11 páginas
Apuntes - Tema-6-ejerciciosintegracion.pdf
16 páginas
3
Apuntes - Tema-3-Teorema-del-sandwich-para-funciones-reales.pdf
2 páginas
Apuntes - Tema-5-CALCULO-clase-23-03.pdf
4 páginas
Apuntes - Tema-3-sobre-limites.pdf
3 páginas
Apuntes - RESUMEN-LIMITES.pdf
1 página
Apuntes - Tema-2-Demostracioun-criterios-convergencia-series-y-otros.pdf
Apuntes - Tema-3-funciones-continuas.pdf
Apuntes - Tema-1-criterios-de-las-medias-de-la-raiz-y-de-Stolz.pdf
7 páginas