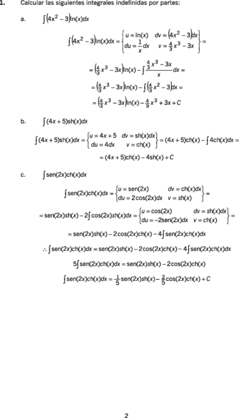
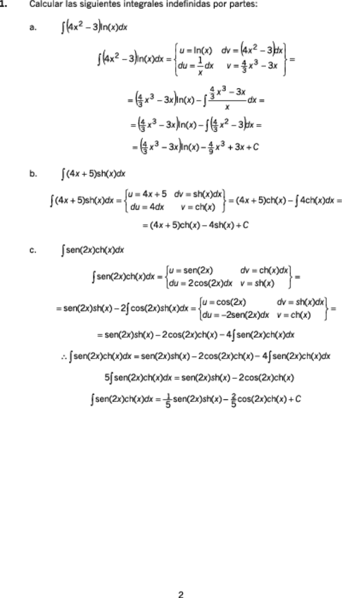
e8.pdf

Anónimo

Cálculoi·Ejercicios·E1·2022-23·Resolución

7 archivos·

CalculoiEjerciciosE12022-23Resolucion.pdf

9 páginas

CalculoiEjerciciosE22022-23Resolucion.pdf

6 páginas

CalculoiEjerciciosE32022-23Resolucion.pdf

6 páginas

CalculoiEjerciciosE52022-23Resolucion.pdf

6 páginas

CalculoiEjerciciosE62022-23Resolucion.pdf

7 páginas

CalculoiEjerciciosE72022-23Resolucion.pdf

6 páginas

e8.pdf

3 páginas

content_copy

Archivos recomendados