Anónimo
Exámenes Parciales Resueltos
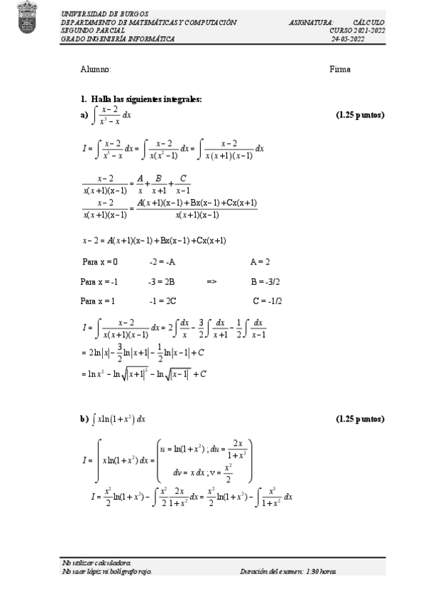
1o-ConvocatoriaExamen-1oParcialCalculoResuelto.pdf
3 páginas
1o-ConvocatoriaExamen-2oParcialCalculoResuelto.pdf
4 páginas
Exámenes - 1o-ConvocatoriaExamen-1oParcialCalculoResuelto.pdf
pdf
246
2
Exámenes - examen-parcial-2-maxima.wxmx
wxmx
134
0
Exámenes - 1o-ConvocatoriaExamen-2oParcialCalculoResuelto.pdf
186
1
Apuntes - practica1.pdf
1 página
151
Exámenes - 1o-PARCIAL-FINAL-CALCULO.pdf
130
Apuntes - practica3.pdf
117
Apuntes - practica4.pdf
113
Prácticas - Primer-parcial-de-maxima.wxmx
75
Exámenes - finalconv12021-22.pdf
116
Exámenes - parcial-1-conv2.pdf
88
Exámenes - parcial-2-conv2.pdf
103
Exámenes - 2o-PARCIAL-FINAL-CALCULO.pdf
84
Exámenes - Primer-parcial-de-maxima.wxmx
49
Prácticas - Practica-6.wxmx
56
Exámenes - Examen-Parcial30marzo2022CalculoGIIResuelto-1.pdf
80
Prácticas - excalc.wxmx
46
Apuntes - Formulas-del-calculo-integral.txt
txt
Apuntes - Apuntes-integrales-maxima.wxmx
Apuntes - Macrorresumen Cálculo.pdf
62 páginas
Prácticas - Practica-7.wxmx
36