Portada
Asignatura
Doble Grado en Ingeniería Informática y Administración y Dirección de Empresas (UPM)
Cálculo
Fecha de subida
08 ago 2025
Categoría
ejercicios
Etiquetas
#Calculo
Ejercicios - ejscalculo.pdf
pdf
65 páginas
10
0
Ejercicios - Funciones-varias-variables-ej-resuletos.pdf
15 páginas
2
Ejercicios - Series-de-potencias-ej-resueltos.pdf
9 páginas
Apuntes - Ejercicios-resueltos-sucesiones-numeros-reales.pdf
7 páginas
1
Ejercicios - Problemas-calculo-diferencial.pdf
12 páginas
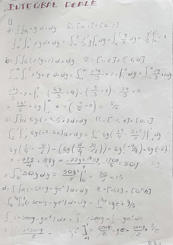
Ejercicios - Integral-doble-ejercicios-resuletos.pdf
10 páginas
Apuntes - Integral-doble-apuntes.pdf
4 páginas
Ejercicios - Ejercicios-Tema-1.pdf
Apuntes - Problemas-optimizacion-ejercicios-resueltos.pdf
Ejercicios - Series-numeros-reales-ejercicios-resueltos.pdf
17 páginas