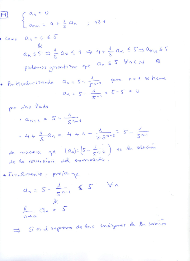
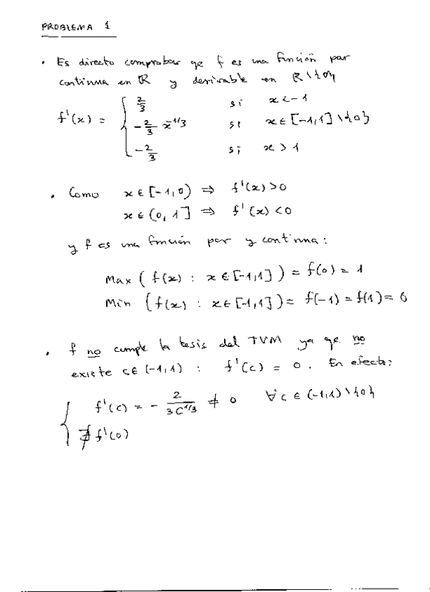
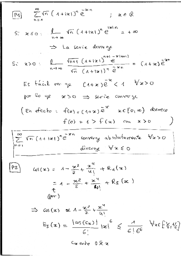
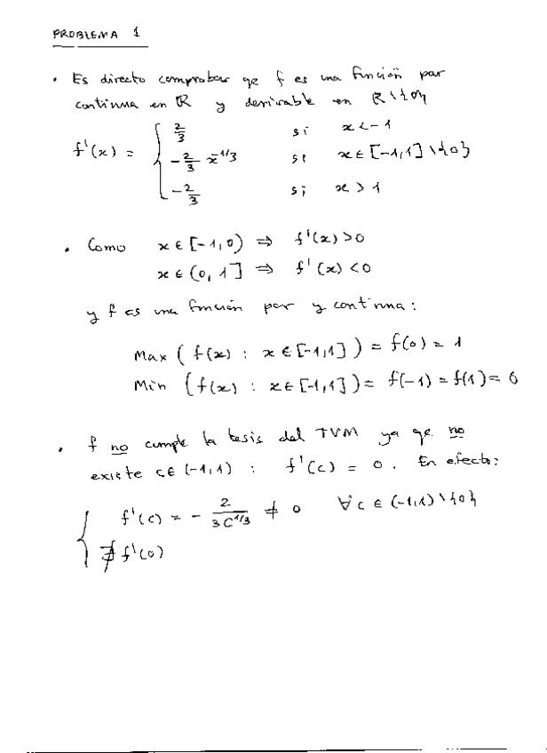
Anónimo
Portada
Asignatura
Doble Grado en Ingeniería Informática y Administración de Empresas (UC3M)
Cálculo
Fecha de subida
25 feb 2023
Categoría
examenes
Etiquetas
Apuntes - Calculo-temas-1-a-4.pdf
pdf
20 páginas
67
0
Apuntes - Ejercicios-calculo.pdf
72 páginas
33
3
Ejercicios - ejscalculo.pdf
65 páginas
107
2
Apuntes - Teoria-calculo.pdf
31 páginas
54
Apuntes - Practica-examenes-calculo.pdf
19 páginas
52
1
Apuntes - Apuntes-Calculo-curso.pdf
16 páginas
Exámenes - Parciales-2018.pdf
7 páginas
44
Apuntes - Calculo-tema-7.pdf
11 páginas
22
Apuntes - Calculo-temas-5-y-6.pdf
18 páginas
20
Ejercicios - Ejercicios-Secuencias-paso-por-paso.pdf
10 páginas
35
32
Exámenes - CALC-2nd-g87-2021-22-SOL.pdf
3 páginas
21
Exámenes - Final-2018.pdf
5 páginas
39
Apuntes - Apuntes de supervivencia en calculo.pdf.pdf
10
Exámenes - Apuntes-Calculo-I.pdf
128 páginas
9
Ejercicios - Ejercicios-Taylor.pdf
8 páginas
14
Exámenes - Junio-2018.pdf
Exámenes - Examenes-Calculo-1part1.pdf
50 páginas
12
Ejercicios - Ejercicios-Series-explicados.pdf
12 páginas
Exámenes - Examenes-Calculo-1part2.pdf