perre7
Soluciones ejercicios
img-41.pdf
1 página
img-38.pdf
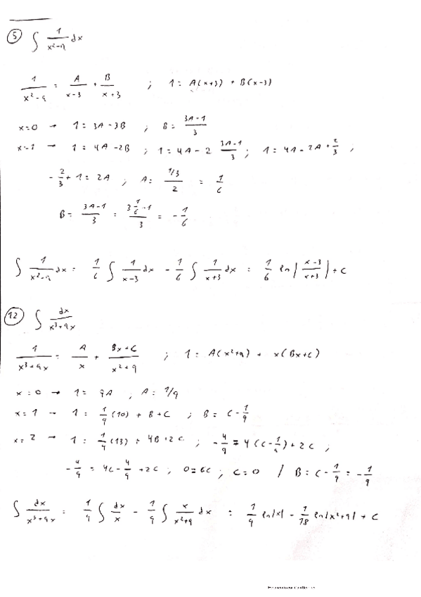
img-40.pdf
img-39.pdf
img-44.pdf
img-47.pdf
img-43.pdf
img-42.pdf
img-45.pdf
img-46.pdf
Exámenes - Examen cálculo.pdf
pdf
4 páginas
2
0
Ejercicios - img-40.pdf
3
Exámenes - parcial CÁLCULO, resuelto.pdf
Apuntes - Tema-7-Sistemas-Operativos.pdf
6 páginas
Ejercicios - img-38.pdf
Exámenes - parcial cálculo resuelto.pdf
Apuntes - Parcial Máxima resuelto.pdf
5 páginas
1
Ejercicios - img-46.pdf
Ejercicios - img-45.pdf
Ejercicios - img-42.pdf
Ejercicios - img-43.pdf
Ejercicios - img-47.pdf
Ejercicios - img-44.pdf
Ejercicios - img-39.pdf
Ejercicios - img-41.pdf
4
Exámenes - examen maxima CÁLCULO.pdf