Portada
Asignatura
Grado en Ingeniería de Diseño Industrial y Desarrollo del Producto (UEX)
Cálculo
Fecha de subida
08 ene 2021
Categoría
apuntes
Información
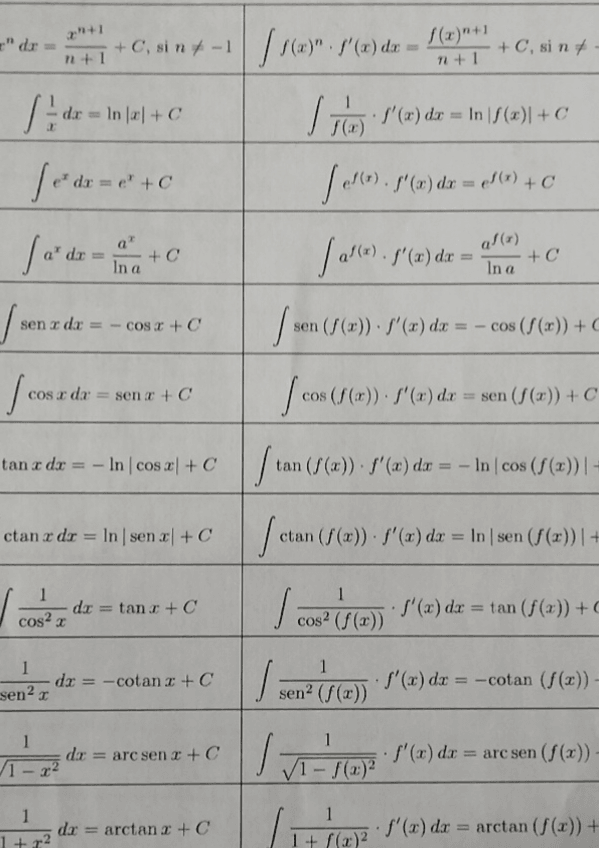
Resumen de las derivadas e integrales directas
Etiquetas
Apuntes - Prueba-de-Derivadas-2024-.pdf
pdf
2 páginas
22
0
Exámenes - CamScanner-01-13-2021-17.pdf
40
Apuntes - Tm-7. Límites de funciones, continuidadpdf
7 páginas
26
Exámenes - Prueba-de-Derivadas.pdf
15
Prácticas - PROYECTO-OPTIMIZAR-EL-VOLUMEN-DE-UNA-LATA-EN-VARIAS-VARIABLES.pdf
8 páginas
17
Exámenes - mas-examenes-de-calculo.pdf
13 páginas
Exámenes - Prueba-de-Integrales.pdf
3 páginas
11
Exámenes - todos los exámenes de cálculo de otros años.pdf
34 páginas
14
Apuntes - DERIVADAS-e-INTEGRALES-directas.pdf
31
Apuntes - Tm-10.pdf
Apuntes - Resumen-cosas-IMPORTANTES-TM-7-12.pdf
6 páginas
Apuntes - Tm-11.pdf
4 páginas
10
Exámenes - Integrales.pdf
1 página
8
Apuntes - Tm-12.pdf
12
Exámenes - Examen-final-ordinaria-enero-2025.pdf
Exámenes - Derivadas2.pdf
6
Exámenes - Derivadas1.pdf
9
1
Exámenes - Pack-de-Examenes-Calculo.pdf
28 páginas
Apuntes - Prueba-de-limites.pdf
Exámenes - miniexamen-Derivadas-resuelto.pdf
5 páginas
Información
Resumen de las derivadas e integrales directas