chevron_left
chevron_right
Todo
Apuntes
Exámenes
Prácticas
Trabajos
chevron_left
chevron_right

He publicado nuevos examenes de 1º Cálculo: Prueba-de-Derivadas.pdf

2 páginas

He publicado nuevos examenes de 1º Cálculo: Prueba-de-Integrales.pdf

3 páginas

He publicado nuevos practicas de 1º Cálculo: Practica6CALDIS-Jupyter-Notebook.pdf

2 páginas

He publicado nuevos practicas de 1º Cálculo: Practica2CALDIS.pdf

6 páginas

He publicado nuevos examenes de 1º Cálculo: DerivadasVariasVariablesCalculo.pdf

2 páginas

He publicado nuevos examenes de 1º Cálculo: MiniexamenIntegralesCalculo.pdf

2 páginas

He publicado nuevos examenes de 1º Cálculo: MiniexamenDerivadasVariasVariablesCalcu.pdf

3 páginas

He publicado nuevos examenes de 1º Cálculo: MiniexamenDerivadasCalculo.pdf

2 páginas
Anónimo

@Anónimo

He publicado nuevos apuntes de 1º Cálculo: pizarratema5.png

Imagen
Anónimo

@Anónimo

He publicado nuevos apuntes de 1º Cálculo: pizarratema4.png

Imagen
Anónimo

@Anónimo

He publicado nuevos apuntes de 1º Cálculo: pizarratema3.png

Imagen
Anónimo

@Anónimo

He publicado nuevos apuntes de 1º Cálculo: pizarratema22.png

Imagen
Anónimo

@Anónimo

He publicado nuevos apuntes de 1º Cálculo: pizarratema21.png

Imagen
Anónimo

@Anónimo

He publicado nuevos apuntes de 1º Cálculo: Prueba-de-limites.pdf

1 página
Anónimo

@Anónimo

He publicado nuevos examenes de 1º Cálculo: Examen-final-ordinaria-enero-2025.pdf

2 páginas

He publicado nuevos apuntes de 1º Cálculo: Prueba-de-Derivadas-2024-.pdf

2 páginas

He publicado nuevos examenes de 1º Cálculo: mas-examenes-de-calculo.pdf

13 páginas

He publicado nuevos examenes de 1º Cálculo: todos los exámenes de cálculo de otros años.pdf

34 páginas

examenes

-

miniexámenes resueltos derivadas e integrales

Resueltos por mi Curso 21/22

miniexamen-Derivadas-resuelto.pdf
MINIEXAMEN-INTEGRALES-CORREGIDO.pdf
MINIEXAMEN-DERIVADAS-CORREGIDO.pdf
MiniExamen-Derivadas-Enuciado-2122.pdf
MiniExamen-Integrales-Enunciado-2121.pdf
MiniExamen-Integrales-resuelto.pdf
Anónimo

@Anónimo

He publicado nuevos examenes de 1º Cálculo: Pack-de-Examenes-Calculo.pdf

28 páginas
Anónimo

@Anónimo

practicas

-

Práctica Optimización

He publicado nuevos practicas de 1º Cálculo: Práctica Optimización

PROYECTO-OPTIMIZAR-EL-VOLUMEN-DE-UNA-LATA-EN-VARIAS-VARIABLES.pdf

examenes

-

Miniexámenes

He publicado nuevos examenes de 1º Cálculo: Miniexámenes

Derivadas1.pdf
Derivadas2.pdf
Integrales.pdf
Anónimo

@Anónimo

He publicado nuevos apuntes de 1º Cálculo: 1617parcial.pdf

1 página
Anónimo

@Anónimo

He publicado nuevos apuntes de 1º Cálculo: 1617junio.pdf

2 páginas
Anónimo

@Anónimo

He publicado nuevos apuntes de 1º Cálculo: 1617enero.pdf

2 páginas
Anónimo

@Anónimo

He publicado nuevos apuntes de 1º Cálculo: miniexamenintegrales.pdf

1 página
Anónimo

@Anónimo

He publicado nuevos apuntes de 1º Cálculo: 1718junio.pdf

2 páginas
Anónimo

@Anónimo

He publicado nuevos apuntes de 1º Cálculo: miniexamenderivadas.pdf

1 página
Anónimo

@Anónimo

He publicado nuevos apuntes de 1º Cálculo: 1718julio.pdf

2 páginas
Anónimo

@Anónimo

He publicado nuevos apuntes de 1º Cálculo: 1718enero.pdf

2 páginas
Anónimo

@Anónimo

He publicado nuevos trabajos de 1º Cálculo: trabajo4deNoviembre.pdf

1 página

apuntes

-

CÁLCULO

He publicado nuevos apuntes de 1º Cálculo: CÁLCULO

EJERCICIOS-CURVAS-PARAMETRICAS.pdf
TEMA-3.pdf
TEMA-3.pdf
EJEMPLO-PUNTO-CRITICO.pdf
EJERCICIOS-OPTIMIZACION.pdf
TEMA-3.pdf

apuntes

-

Cálculo I y apuntes matemáticas EBAU

Apuntes de 2°Bach para Ebau y para la carrera en la asignatura Cálculo I, con ejercicios completos y explicados paso a paso

Tm-7. Límites de funciones, continuidadpdf
Tm-12.pdf
Resumen-cosas-IMPORTANTES-TM-7-12.pdf
Tm-9.pdf
Tm-11.pdf
Propiedades-de-los-limites.pdf

Enunciados examen final de cálculo. Convocatoria ordinaria 2020/2021

2 páginas

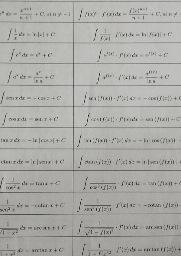
Resumen de las derivadas e integrales directas

2 páginas
¡Estás al día!

¡Estás al día!

Has visto todos los archivos