Cálculo

chevron_left
chevron_right
Todo
Apuntes
Ejercicios
Otros
Test
Trabajos
chevron_left
chevron_right

He publicado nuevos apuntes de 10º Cálculo: Regla-falsa.pdf

1 página

He publicado nuevos apuntes de 10º Cálculo: Infinito-actual-y-potencial.pdf

3 páginas

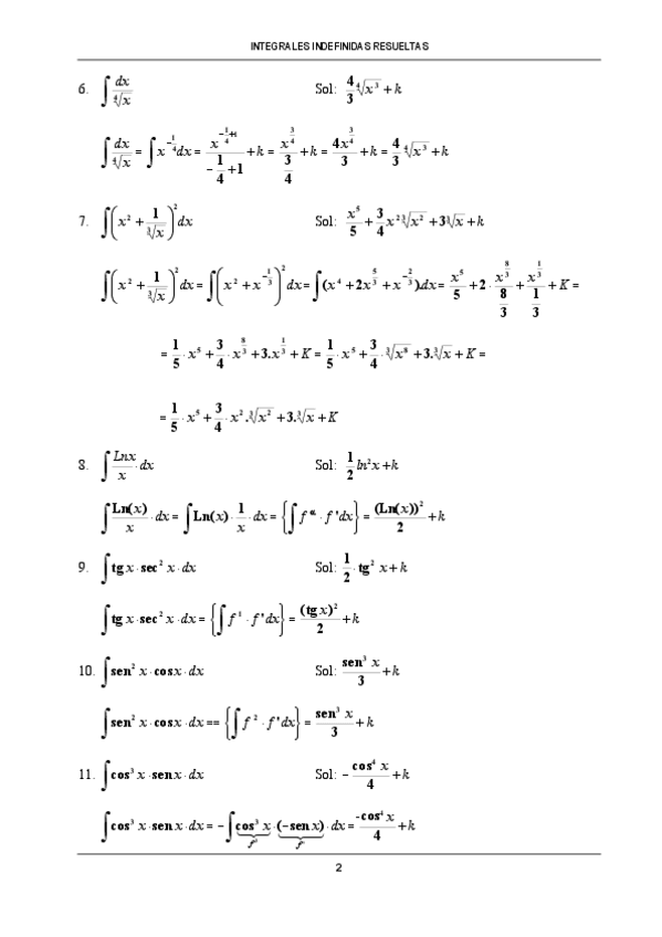
125 ejercicios de Integrales indefinidas resueltas por métodos de (sustitución, por partes y fracciones parciales)

32 páginas

continuación de los ejercicios resueltos de derivadas (72-100)

3 páginas

continuación de los ejercicios resueltos de derivadas (32-71)

5 páginas

continuación de los ejercicios resueltos de derivadas (18-31)

4 páginas

17/100 ejercicios de derivadas resueltos

13 páginas

He publicado nuevos apuntes de 10º Cálculo: NotasDeContabilidad.pdf

7 páginas

He publicado nuevos apuntes de 10º Cálculo: limites-trignometricos.pdf

2 páginas
Anónimo

@Anónimo

He publicado nuevos ejercicios de 10º Cálculo: Los-Angulos.pdf

17 páginas
Anónimo

@Anónimo

He publicado nuevos trabajos de 10º Cálculo: Informe-de-Uso-de-inecuaciones-para-describir-derivadas-parciales.pdf

3 páginas
Anónimo

@Anónimo

He publicado nuevos trabajos de 10º Cálculo: Informe-Regla-de-Producto-y-Cociente-de-Derivadas-Parciales.pdf

3 páginas
Anónimo

@Anónimo

He publicado nuevos trabajos de 10º Cálculo: Informe-de-Regla-de-Cadena-para-Derivadas-Parciales.pdf

3 páginas
Anónimo

@Anónimo

He publicado nuevos trabajos de 10º Cálculo: Informe-de-Graficas-funciones-y-derivadas-e-integrales-ordinarias-y-parciales-mediante-graficas-de-funciones.pdf

6 páginas
Anónimo

@Anónimo

He publicado nuevos trabajos de 10º Cálculo: Informe-de-Derivadas-Parciales.pdf

2 páginas
Anónimo

@Anónimo

He publicado nuevos trabajos de 10º Cálculo: Informe-de-Derivadas-Parciales-en-el-plano-bidimensional-y-tridimensional.pdf

2 páginas
Anónimo

@Anónimo

He publicado nuevos trabajos de 10º Cálculo: Informe-de-Derivadas-Parciales-de-Funciones.pdf

3 páginas
Anónimo

@Anónimo

He publicado nuevos trabajos de 10º Cálculo: Informe-de-Establecer-limites-de-integracion-en-integrales-parciales-de-varias-variables-x-y-z.pdf

3 páginas
Anónimo

@Anónimo

He publicado nuevos trabajos de 10º Cálculo: Informe-de-Uso-de-Determinantes-de-Derivadas-Parciales.pdf

2 páginas
Anónimo

@Anónimo

He publicado nuevos trabajos de 10º Cálculo: Informe-de-Regla-de-Producto-y-Cociente-de-Derivadas-Parciales.pdf

3 páginas
Anónimo

@Anónimo

He publicado nuevos trabajos de 10º Cálculo: Informe-de-Derivadas-Parciales-de-Orden-Superior.pdf

2 páginas
Anónimo

@Anónimo

He publicado nuevos trabajos de 10º Cálculo: Informe-de-Calculo-de-Volumen-de-Solidos-de-Revolucion.pdf

5 páginas
Anónimo

@Anónimo

He publicado nuevos apuntes de 10º Cálculo: Tabla-Derivadas-Parciales-y-Ecuaciones-Diferenciales.pdf

1 página
Anónimo

@Anónimo

He publicado nuevos apuntes de 10º Cálculo: Formulario-de-Calculo-Diferencial-e-Integral.pdf

8 páginas
Anónimo

@Anónimo

He publicado nuevos apuntes de 10º Cálculo: Ejercicios-Resueltos-de-Integracion-por-Partes.pdf

7 páginas
Anónimo

@Anónimo

He publicado nuevos trabajos de 10º Cálculo: Matematicas-de-Secundaria-I.pdf

35 páginas
Anónimo

@Anónimo

He publicado nuevos trabajos de 10º Cálculo: Matematicas-de-Secundaria-II.pdf

32 páginas
Anónimo

@Anónimo

He publicado nuevos trabajos de 10º Cálculo: Ensayo-sobre-Numeros.pdf

5 páginas
Anónimo

@Anónimo

He publicado nuevos trabajos de 10º Cálculo: Ensayo-de-Vectores.pdf

2 páginas
Anónimo

@Anónimo

He publicado nuevos trabajos de 10º Cálculo: Ensayo-de-Trigonometria.pdf

4 páginas
Anónimo

@Anónimo

He publicado nuevos trabajos de 10º Cálculo: Ensayo-de-Triangulo.pdf

3 páginas
Anónimo

@Anónimo

He publicado nuevos trabajos de 10º Cálculo: Ensayo-de-Trapezoides.pdf

2 páginas
Anónimo

@Anónimo

He publicado nuevos trabajos de 10º Cálculo: Ensayo-de-Trapecio.pdf

2 páginas
Anónimo

@Anónimo

He publicado nuevos trabajos de 10º Cálculo: Ensayo-de-Sistemas-de-Coordenadass.pdf

3 páginas
Anónimo

@Anónimo

He publicado nuevos trabajos de 10º Cálculo: Ensayo-de-Sistemas-de-Coordenadas.pdf

1 página
Anónimo

@Anónimo

He publicado nuevos trabajos de 10º Cálculo: Ensayo-de-Romboide.pdf

2 páginas
Anónimo

@Anónimo

He publicado nuevos trabajos de 10º Cálculo: Ensayo-de-Rombo.pdf

2 páginas
Anónimo

@Anónimo

He publicado nuevos trabajos de 10º Cálculo: Ensayo-de-Rectangulo.pdf

2 páginas
Anónimo

@Anónimo

He publicado nuevos trabajos de 10º Cálculo: Ensayo-de-Radicales.pdf

2 páginas
Anónimo

@Anónimo

He publicado nuevos test de 10º Cálculo: Ensayo-de-Probabilidad.pdf

2 páginas
Anónimo

@Anónimo

He publicado nuevos trabajos de 10º Cálculo: Ensayo-de-Prisma.pdf

3 páginas
Anónimo

@Anónimo

He publicado nuevos trabajos de 10º Cálculo: Ensayo-de-Potenciacion.pdf

3 páginas
Anónimo

@Anónimo

He publicado nuevos trabajos de 10º Cálculo: Ensayo-de-Polinomios.pdf

2 páginas
Anónimo

@Anónimo

He publicado nuevos trabajos de 10º Cálculo: Ensayo-de-Poligono.pdf

2 páginas
Anónimo

@Anónimo

He publicado nuevos trabajos de 10º Cálculo: Ensayo-de-Poliedros.pdf

3 páginas
Anónimo

@Anónimo

He publicado nuevos trabajos de 10º Cálculo: Ensayo-de-Piramide.pdf

2 páginas
Anónimo

@Anónimo

He publicado nuevos trabajos de 10º Cálculo: Ensayo-de-Paralelogramos.pdf

3 páginas
Anónimo

@Anónimo

He publicado nuevos trabajos de 10º Cálculo: Ensayo-de-Paralelepipedo.pdf

2 páginas
Anónimo

@Anónimo

He publicado nuevos trabajos de 10º Cálculo: Ensayo-de-Numeros-Complejos.pdf

2 páginas
Anónimo

@Anónimo

He publicado nuevos trabajos de 10º Cálculo: Ensayo-de-Logaritmos.pdf

2 páginas
Anónimo

@Anónimo

He publicado nuevos trabajos de 10º Cálculo: Ensayo-de-las-Matematicas.pdf

3 páginas
Anónimo

@Anónimo

He publicado nuevos trabajos de 10º Cálculo: Ensayo-de-Integrales.pdf

4 páginas
Anónimo

@Anónimo

He publicado nuevos trabajos de 10º Cálculo: Ensayo-de-Inecuaciones.pdf

2 páginas
Anónimo

@Anónimo

He publicado nuevos trabajos de 10º Cálculo: Ensayo-de-Geometria.pdf

2 páginas
Anónimo

@Anónimo

He publicado nuevos trabajos de 10º Cálculo: Ensayo-de-Geometria-Basica-I.pdf

2 páginas
Anónimo

@Anónimo

He publicado nuevos trabajos de 10º Cálculo: Ensayo-de-Geometria-Analitica.pdf

2 páginas
Anónimo

@Anónimo

He publicado nuevos trabajos de 10º Cálculo: Ensayo-de-Funciones.pdf

2 páginas
Anónimo

@Anónimo

He publicado nuevos trabajos de 10º Cálculo: Ensayo-de-Figuras-Tridimensionales.pdf

3 páginas
Anónimo

@Anónimo

He publicado nuevos trabajos de 10º Cálculo: Ensayo-de-Factorizacion.pdf

2 páginas
Anónimo

@Anónimo

He publicado nuevos apuntes de 10º Cálculo: Ensayo-de-Factorizacion.pdf

Miniatura no disponible
pdf