Todo
Apuntes
Ejercicios
Exámenes
Prácticas
Test
chevron_left
chevron_right

He publicado nuevos examenes de 1º Cálculo: Examencalculof.pdf

4 páginas

Teoremas MUY importantes de derivadas. El más importante es el teorema del valor medio.

1 página

Resumen cálculo nuevo plan de estudios. Tema 5, derivadas.

1 página

Resumen cálculo nuevo plan de estudios. Tema 4, continuidad.

1 página

Resumen cálculo nuevo plan de estudios. Tema 3, series.

2 páginas

Resumen cálculo nuevo plan de estudios. Tema 2, sucesiones.

3 páginas

Resumen cálculo nuevo plan de estudios. Tema 1, conjuntos de números reales.

2 páginas

Gráficas de funciones elementales.

2 páginas

He publicado nuevos apuntes de 1º Cálculo: Teoria-curso-completo.pdf

51 páginas

He publicado nuevos ejercicios de 1º Cálculo: Ejercicios-curso-completo.pdf

37 páginas

Apuntes todo el curso calculo I

3 páginas

Solutions for Midterm 2 - 2023

4 páginas

Solutions for Midterm 1 - 2023

2 páginas

Resumen completo de Cálculo por temas, para el examen final.

8 páginas

Pdf containing notes for the whole Calculus I course

19 páginas

chapter 5 Taylor's Polynomial

7 páginas

Chapter 3. Real Functions. Limits. Continuity

3 páginas

He publicado nuevos apuntes de 1º Cálculo: POLINOMIO-DE-TAYLOR.pdf

2 páginas

He publicado nuevos apuntes de 1º Cálculo: APUNTES-TEMA-5.pdf

2 páginas

He publicado nuevos apuntes de 1º Cálculo: APUNTES-TEMA-4.pdf

3 páginas

He publicado nuevos apuntes de 1º Cálculo: APUNTES-TEMA-3.pdf

5 páginas

He publicado nuevos apuntes de 1º Cálculo: APUNTES-TEMA-2.pdf

6 páginas

He publicado nuevos apuntes de 1º Cálculo: APUNTES-TEMA-1.pdf

3 páginas

He publicado nuevos apuntes de 1º Cálculo: FORMULARIO COMPLETO.pdf

3 páginas

apuntes

-

Ch 2: Sequences and Series of Real num

He publicado nuevos apuntes de 1º Cálculo: Ch 2: Sequences and Series of Real num

Boundedness-of-sequences.pdf
Boundedness-of-sequences.pdf
Convergence-of-sequences.pdf
Convergence-of-sequences.pdf
Monotonicity-of-sequences.pdf
Monotonicity-of-sequences.pdf

apuntes

-

Ch 1: Sets of Numbers

He publicado nuevos apuntes de 1º Cálculo: Ch 1: Sets of Numbers

Sets-of-numbers.pdf
Sets-of-numbers.pdf

apuntes

-

Apuntes Teoría - Todo el curso

He publicado nuevos apuntes de 1º Cálculo: Apuntes Teoría - Todo el curso

capitulo-1.pdf
capitulo-1.pdf
capitulo-2.pdf
capitulo-2.pdf
capitulo-3.pdf
capitulo-3.pdf

ejercicios

-

Hojas de Problemas con Soluciones - Todo el curso

He publicado nuevos ejercicios de 1º Cálculo: Hojas de Problemas con Soluciones - Todo el curso

Problemas Tema 1.pdf
Problemas Tema 1.pdf
Problemas Tema 2.pdf
Problemas Tema 2.pdf
Problemas Tema 3.pdf
Problemas Tema 3.pdf

He publicado nuevos apuntes de 1º Cálculo: Calculo-apuntes-variados.pdf

8 páginas

examenes

-

TODOS LOS EXAMENES P.2

He publicado nuevos examenes de 1º Cálculo: TODOS LOS EXAMENES P.2

solenero22-R4SPUT1N.pdf
solenero22-R4SPUT1N.pdf
solexamenenero-R4SPUT1N.pdf
solexamenenero-R4SPUT1N.pdf
soljun22-R4SPUT1N.pdf
soljun22-R4SPUT1N.pdf

examenes

-

TODOS LOS EXAMENES P.1

He publicado nuevos examenes de 1º Cálculo: TODOS LOS EXAMENES P.1

Calculo-IInfParcialFeb-2006-R4SPUT1N.pdf
Calculo-IInfParcialFeb-2006-R4SPUT1N.pdf
CalculoInformatica-2000-2004-R4SPUT1N.pdf
CalculoInformatica-2000-2004-R4SPUT1N.pdf
Control184-R4SPUT1N.pdf
Control184-R4SPUT1N.pdf

apuntes

-

ACADEMIA DE CALCULO

He publicado nuevos apuntes de 1º Cálculo: ACADEMIA DE CALCULO

CAlc.-I.-Semana-17-al-22-de-Octubre-2022.pdf
CAlc.-I.-Semana-17-al-22-de-Octubre-2022.pdf
CAlc.-I.-Semana-24-al-29-de-Octubre-2022.pdf
CAlc.-I.-Semana-24-al-29-de-Octubre-2022.pdf
CAlc.-I.-Semana-3-al-8-de-Octubre-2022.pdf
CAlc.-I.-Semana-3-al-8-de-Octubre-2022.pdf

He publicado nuevos apuntes de 1º Cálculo: MEGARESUMEN CÁLCULO FINAL.pdf

20 páginas
Anónimo

@Anónimo

He publicado nuevos ejercicios de 1º Cálculo: autoevaluaciones-calculo.pdf

66 páginas
Anónimo

@Anónimo

He publicado nuevos examenes de 1º Cálculo: coleccion-finales-Calculo-I.pdf

77 páginas

He publicado nuevos practicas de 1º Cálculo: Self-Evaluation1.pdf

4 páginas

He publicado nuevos practicas de 1º Cálculo: Self-Evaluation2.pdf

5 páginas

He publicado nuevos practicas de 1º Cálculo: Self-Evaluation3.pdf

8 páginas

apuntes

-

ejercicios todo el curso

dividido en tres para que lo podais descargar sin PRO :)

Chapter-7.pdf
Chapter-7.pdf
Chapters-3-4-5-6.pdf
Chapters-3-4-5-6.pdf
Chapters-1-2.pdf
Chapters-1-2.pdf

He publicado nuevos ejercicios de 1º Cálculo: ejercicioscursocompleto.pdf

48 páginas

He publicado nuevos ejercicios de 1º Cálculo: Ejercicios-2-parcial-2.pdf

4 páginas

He publicado nuevos ejercicios de 1º Cálculo: Ejercicios-2o-Parcial.pdf

8 páginas

He publicado nuevos apuntes de 1º Cálculo: CULTURA-GENERAL.pdf

1 página

apuntes

-

TEORIA 2º PARCIAL

He publicado nuevos apuntes de 1º Cálculo: TEORIA 2º PARCIAL

SERIES.pdf
SERIES.pdf
GRAFICAS-DE-FUNCIONES-ELEMENTALES.pdf
GRAFICAS-DE-FUNCIONES-ELEMENTALES.pdf
POLINOMIO-DE-TAYLOR.pdf
POLINOMIO-DE-TAYLOR.pdf

He publicado nuevos apuntes de 1º Cálculo: TEORIA-1er-PARCIAL.pdf

2 páginas

He publicado nuevos apuntes de 1º Cálculo: RESUMEN-Calculus.pdf

5 páginas

He publicado nuevos apuntes de 1º Cálculo: Notasejercicios-Calculo.pdf

23 páginas

examenes

-

CALCULUS EXAMS

He publicado nuevos examenes de 1º Cálculo: CALCULUS EXAMS

calculusextraordinaryexam-2022-2023.pdf
calculusextraordinaryexam-2022-2023.pdf
calculussecondpartial2022group87.pdf
calculussecondpartial2022group87.pdf
calculussecondpartial2022group88.pdf
calculussecondpartial2022group88.pdf

He publicado nuevos ejercicios de 1º Cálculo: Primer-parcial-ejercicios.pdf

1 página

ejercicios

-

Ejercicios resueltos cálculo✍?

He publicado nuevos ejercicios de 1º Cálculo: Ejercicios resueltos cálculo✍?

Ejercicios-resueltos-hoja-1.pdf
Ejercicios-resueltos-hoja-1.pdf
ejercicios-resueltos-hoja-2.pdf
ejercicios-resueltos-hoja-2.pdf

apuntes

-

Teoría cálculo✍?

He publicado nuevos apuntes de 1º Cálculo: Teoría cálculo✍?

tema-1-conjuntos.pdf
tema-1-conjuntos.pdf
tema-2-sucesiones.pdf
tema-2-sucesiones.pdf

He publicado nuevos apuntes de 1º Cálculo: APUNTES-Y-EJERCICIOS-TODO-EL-CURSO-CALCULO-I.pdf

52 páginas

ejercicios

-

APUNTES, EJERCICIOS Y MATERIAL HECHOS POR EL COORDINADOR DE CÁLCULO

He publicado nuevos ejercicios de 1º Cálculo: APUNTES, EJERCICIOS Y MATERIAL HECHOS POR EL COORDINADOR DE CÁLCULO

Miniatura no disponible
apuntes-a-mano-profesor.zip
Miniatura no disponible
apuntes-a-mano-profesor.zip
Miniatura no disponible
apuntes-ejercicios-y-material-del-coordinador-de-calculo.zip
Miniatura no disponible
apuntes-ejercicios-y-material-del-coordinador-de-calculo.zip
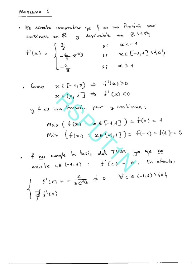
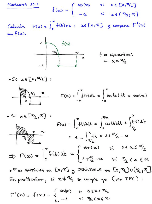
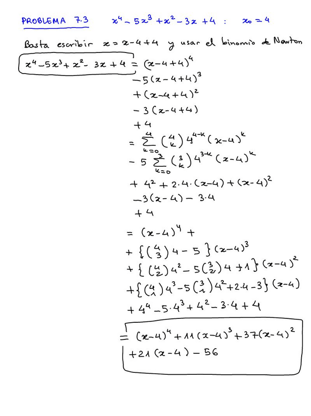
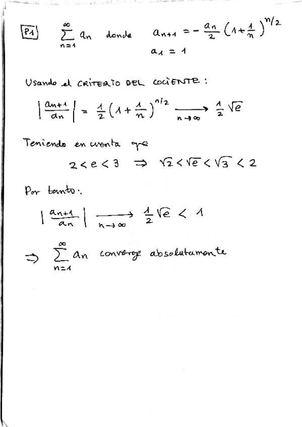
7.3.pdf
7.3.pdf

He publicado nuevos examenes de 1º Cálculo: Calculo-primer-parcial.pdf

2 páginas

He publicado nuevos apuntes de 1º Cálculo: Calculo-apuntes.pdf

74 páginas

He publicado nuevos examenes de 1º Cálculo: Calculo-segundo-parcial.pdf

2 páginas

apuntes

-

Apuntes Calculo

He publicado nuevos apuntes de 1º Cálculo: Apuntes Calculo

Series-Numericas.pdf
Series-Numericas.pdf
Limites-y-derivadas.pdf
Limites-y-derivadas.pdf
Polinomio-de-Taylor.pdf
Polinomio-de-Taylor.pdf

He publicado nuevos ejercicios de 1º Cálculo: TODOS LOS TEMAS-Teachers-exercises.pdf

31 páginas

He publicado nuevos apuntes de 1º Cálculo: RESUMEN-TEORIA.pdf

2 páginas