Cálculo
Toda la teoría y ejercicios resueltos del temario completo de Cálculo Este documento contiene ejercicios resueltos por mí, con explicaciones personales para la comprensión de la resolución, y puede contener errores. Los enunciados han sido redactados man
Toda la teoría y ejercicios resueltos de los temas 9, 10 y 11 de cálculo. Este documento contiene ejercicios resueltos por mí, con explicaciones personales para la comprensión de la resolución, y puede contener errores. Los enunciados han sido redactado
Toda la teoría y ejercicios resueltos de los temas 5, 6, 7 y 8 de cálculo. Este documento contiene ejercicios resueltos por mí, con explicaciones personales para la comprensión de la resolución, y puede contener errores. Los enunciados han sido redactad
Toda la teoría y ejercicios resueltos de los temas 1, 2, 3 y 4 de cálculo. Este documento contiene ejercicios resueltos por mí, con explicaciones personales para la comprensión de la resolución, y puede contener errores. Los enunciados han sido redactad
Ejercicios resueltos de los temas 1, 2, 3 y 4 de cálculo. Este documento contiene ejercicios resueltos por mí, con explicaciones personales para la comprensión de la resolución, y puede contener errores. Los enunciados han sido redactados manualmente. U
He publicado nuevos apuntes de 1º Cálculo: Informe-numero-de-Reynolds.pdf
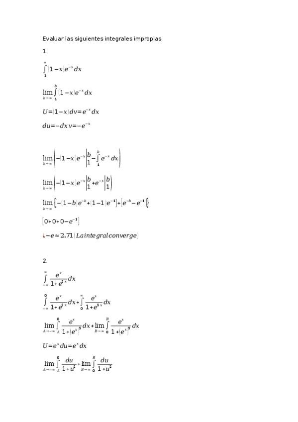
He publicado nuevos apuntes de 1º Cálculo: 440050546-calculo-diferencial-eje-2-act.docx
He publicado nuevos apuntes de 1º Cálculo: pdf-calculo-diferencial-eje-3compress.pdf
He publicado nuevos apuntes de 1º Cálculo: 437653543-100410-145-Calculo-Diferencial.docx
He publicado nuevos apuntes de 1º Cálculo: 426865662-Trabajo-de-Claculo-Diferencial-e-Integral-Unidad-3-Caso-Practico.docx
He publicado nuevos apuntes de 1º Cálculo: 426168384-Calculo-Diferencial-Trabajo.docx
He publicado nuevos apuntes de 1º Cálculo: 434907891-Calculo-Diferencial-e-Integral.docx
He publicado nuevos apuntes de 1º Cálculo: 450627594-Calculo-diferencial-julieth-docx.docx
He publicado nuevos apuntes de 1º Cálculo: 437678497-Calculo-Diferencial-e-Integral-Caso-Practico-Unidad-3.docx
He publicado nuevos apuntes de 1º Cálculo: 437252972-Paso-1-Trabajo-Colaborativo-Calculo-diferencial-1.docx
He publicado nuevos apuntes de 1º Cálculo: 375179903-Unad-Calculo-Diferencial-Trabajo-Colaborativo-2-Trabajo-de-limites-y-continuidad.pdf
He publicado nuevos apuntes de 1º Cálculo: 434497922-Calculo-Integral-Fase-3-Trabajo-1.docx
He publicado nuevos apuntes de 1º Cálculo: 436399696-Calculo-integral.docx
He publicado nuevos apuntes de 1º Cálculo: 426865662-Trabajo-de-Claculo-Diferencial-e-Integral-Unidad-3-Caso-Practico-1.docx
He publicado nuevos apuntes de 1º Cálculo: 406531111-CASO-PRACTICO-UNIDAD-3-CALCULO-INTEGRAL-docx.docx
He publicado nuevos apuntes de 1º Cálculo: 434497922-Calculo-Integral-Fase-3-Trabajo.docx
He publicado nuevos apuntes de 1º Cálculo: 463160251-calculo-integral-Eje-3-docx.docx
He publicado nuevos apuntes de 1º Cálculo: 430839888-Calculo-Integral.docx
He publicado nuevos apuntes de 1º Cálculo: 485139807-Calculo-Integral-Eje3-docx.docx
He publicado nuevos apuntes de 1º Cálculo: 469989459-tarea-1-calculo-integral-pdf.pdf
He publicado nuevos apuntes de 1º Cálculo: 313911610-100411-14-Trabajo-Fase-2.docx
He publicado nuevos apuntes de 1º Cálculo: 261368090-Trabajo-Colaborativo-1-Calculo-Integral.docx
He publicado nuevos apuntes de 1º Cálculo: 288883224-Calculo-Integral-Col-2.docx
He publicado nuevos apuntes de 1º Cálculo: 376542984-Calculo-Integral-3.docx
He publicado nuevos apuntes de 1º Cálculo: 375442786-100411-Calculo-Integral-trabajo-Colaborativo-1.docx
He publicado nuevos apuntes de 1º Cálculo: 409662053-Trabajo-Colaborativo-Calculo.docx
apuntes
-
Cálculo
He publicado nuevos apuntes de 1º Cálculo: Cálculo
¡Estás al día!
Has visto todos los archivos