
Grado en Ingeniería Mecánica (UNAV)
Guipúzcoa/Gipuzkoa
Sube tus apuntes
arrow_forwardAsignaturas de Grado en Ingeniería Mecánica (UNAV)
Asignatura
arrow_downward2º
•
0 posts
1º
•
7 posts
2º
•
0 posts
1º
•
1 posts
1º
•
0 posts
3º
•
0 posts
1º
•
32 posts
1º
•
1 posts
3º
•
0 posts
3º
•
0 posts
4º
•
1 posts
3º
•
6 posts
1º
•
2 posts
2º
•
0 posts
2º
•
0 posts
4º
•
0 posts
1º
•
1 posts
1º
•
2 posts
2º
•
0 posts
3º
•
0 posts
2º
•
0 posts
1º
•
15 posts
1º
•
6 posts
1º
•
2 posts
3º
•
0 posts
4º
•
0 posts
1º
•
0 posts
3º
•
0 posts
2º
•
0 posts
2º
•
0 posts
3º
•
0 posts
2º
•
0 posts
3º
•
0 posts
2º
•
0 posts
3º
•
0 posts
2º
•
3 posts
3º
•
5 posts
3º
•
0 posts
3º
•
0 posts
4º
•
1 posts
4º
•
0 posts
4º
•
0 posts
4º
•
1 posts
2º
•
5 posts
3º
•
0 posts
3º
•
1 posts
3º
•
0 posts
4º
•
1 posts
4º
•
0 posts
2º
•
0 posts
2º
•
0 posts
4º
•
0 posts
3º
•
0 posts
2º
•
0 posts
4º
•
0 posts
3º
•
1 posts
Últimas publicaciones de Grado en Ingeniería Mecánica (UNAV)
Ejercicios de exámenes anteriores resueltos con enunciados escritos a mano y resoluciones completas. (parte 2/2) Este documento contiene ejercicios resueltos por mí, con explicaciones personales para la comprensión de la resolución, y puede contener erro
Ejercicios de exámenes anteriores resueltos con enunciados escritos a mano y resoluciones completas. (parte 1/2) Este documento contiene ejercicios resueltos por mí, con explicaciones personales para la comprensión de la resolución, y puede contener erro
Toda la teoría y apuntes de clase de los temas 8 y 9 de CONTROL AUTOMÁTICO. (Respuesta en frecuencia y controladores PID) Este documento contiene ejercicios resueltos por mí, con explicaciones personales para la comprensión de la resolución, y puede cont
Toda la teoría y apuntes de clase de los temas 6 y 7 de CONTROL AUTOMÁTICO. (Cálculo del error y método del lugar de las raíces) Este documento contiene ejercicios resueltos por mí, con explicaciones personales para la comprensión de la resolución, y pue
Toda la teoría y apuntes de clase de los temas 4 y 5 de CONTROL AUTOMÁTICO. (Respuesta temporal y estabilidad) Este documento contiene ejercicios resueltos por mí, con explicaciones personales para la comprensión de la resolución, y puede contener errore
Toda la teoría y apuntes de clase de los temas 1, 2 y 3 de CONTROL AUTOMÁTICO. (Modelado matemático de señales y modelado de sistemas) Este documento contiene ejercicios resueltos por mí, con explicaciones personales para la comprensión de la resolución,
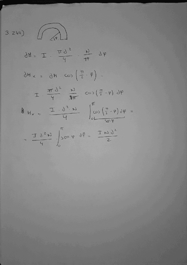
Resumen de teoría compacto correspondiente al parcial 3 de FISICA 1. (Magnetismo y OEM)
Resumen de teoría compacto correspondiente al parcial 1 de FISICA 1.
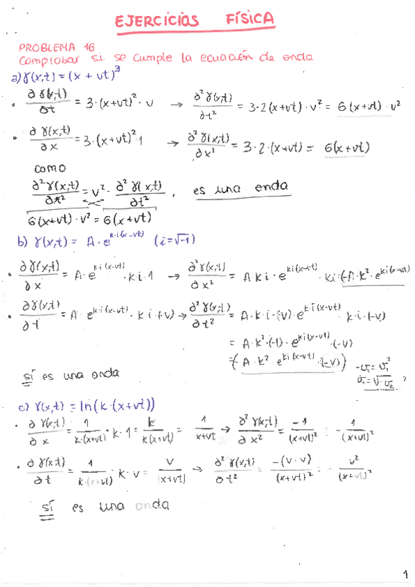
Toda la teoría y ejercicios resueltos del tema 5 de FISICA 1. (OEM) Este documento contiene ejercicios resueltos por mí, con explicaciones personales para la comprensión de la resolución, y puede contener errores. Los enunciados han sido redactados manua
Toda la teoría y ejercicios resueltos del tema 4 de FISICA 1. (Magnetismo) Este documento contiene ejercicios resueltos por mí, con explicaciones personales para la comprensión de la resolución, y puede contener errores. Los enunciados han sido redactado
Toda la teoría y ejercicios resueltos de los temas 4 y 5 de FISICA 1. (Magnetismo y OEM) Este documento contiene ejercicios resueltos por mí, con explicaciones personales para la comprensión de la resolución, y puede contener errores. Los enunciados han
Toda la teoría y ejercicios resueltos de los temas 2 y 3 de FISICA 1. (Electrostática y electrodinámica). Este documento contiene ejercicios resueltos por mí, con explicaciones personales para la comprensión de la resolución, y puede contener errores. L
Toda la teoría y ejercicios resueltos del tema 1 de FISICA 1. Este documento contiene ejercicios resueltos por mí, con explicaciones personales para la comprensión de la resolución, y puede contener errores. Los enunciados han sido redactados manualment
Ejercicios resueltos del tercer parcial de física de Fisica I. Tema 5: Ondas electromagnéticas. Este documento contiene ejercicios resueltos por mí, con explicaciones personales para la comprensión de la resolución, y puede contener errores. Los enunciad
Ejercicios resueltos del tercer parcial de física de Fisica I. Tema 4: Magnetismo. Este documento contiene ejercicios resueltos por mí, con explicaciones personales para la comprensión de la resolución, y puede contener errores. Los enunciados han sido r
Ejercicios resueltos del segundo parcial de física de Fisica I. Temas 2 y 3 completos. Este documento contiene ejercicios resueltos por mí, con explicaciones personales para la comprensión de la resolución, y puede contener errores. Los enunciados han s
Ejercicios resueltos del segundo parcial de física de Fisica I. Tema 2: Electrostática. Este documento contiene ejercicios resueltos por mí, con explicaciones personales para la comprensión de la resolución, y puede contener errores. Los enunciados han s
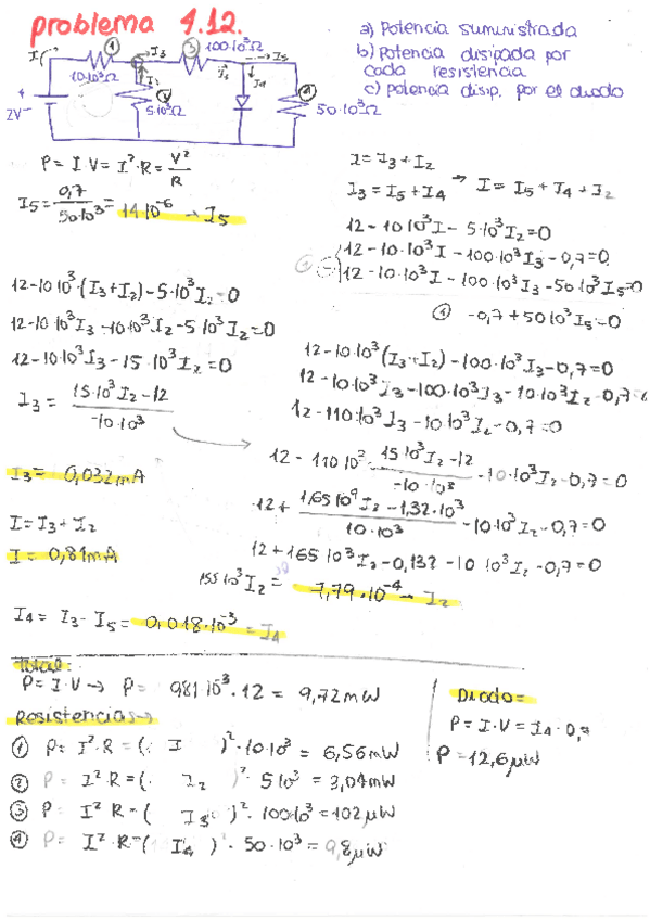
Ejercicios resueltos del segundo parcial de física de Fisica I. Tema 3: Electrodinámica y diodos. Este documento contiene ejercicios resueltos por mí, con explicaciones personales para la comprensión de la resolución, y puede contener errores. Los enunc
Ejercicios resueltos del tema 1 de Fisica I. Este documento contiene ejercicios resueltos por mí, con explicaciones personales para la comprensión de la resolución, y puede contener errores. Los enunciados han sido redactados manualmente. Uso educativo ú
Toda la teoría y ejercicios resueltos del temario completo de Cálculo Este documento contiene ejercicios resueltos por mí, con explicaciones personales para la comprensión de la resolución, y puede contener errores. Los enunciados han sido redactados man
Toda la teoría y ejercicios resueltos de los temas 9, 10 y 11 de cálculo. Este documento contiene ejercicios resueltos por mí, con explicaciones personales para la comprensión de la resolución, y puede contener errores. Los enunciados han sido redactado
Toda la teoría y ejercicios resueltos de los temas 5, 6, 7 y 8 de cálculo. Este documento contiene ejercicios resueltos por mí, con explicaciones personales para la comprensión de la resolución, y puede contener errores. Los enunciados han sido redactad
Toda la teoría y ejercicios resueltos de los temas 1, 2, 3 y 4 de cálculo. Este documento contiene ejercicios resueltos por mí, con explicaciones personales para la comprensión de la resolución, y puede contener errores. Los enunciados han sido redactad
Ejercicios resueltos de los temas 1, 2, 3 y 4 de cálculo. Este documento contiene ejercicios resueltos por mí, con explicaciones personales para la comprensión de la resolución, y puede contener errores. Los enunciados han sido redactados manualmente. U
Toda la teoría y ejercicios resueltos de todo el temario de algebra. Incluye resumenes al final de cada bloque con la teoría, demostraciones, etc., correspondientes al bloque completo relativo a cada examen parcial. Este documento contiene ejercicios r
Toda la teoría y ejercicios resueltos de los temas 5 y 6 de algebra. Este documento contiene ejercicios resueltos por mí, con explicaciones personales para comprender mejor los ejercicios, y que puede contener errores. Los enunciados han sido redactados
Toda la teoría y ejercicios resueltos de los temas 3, 7, 8 y 9 de algebra. Este documento contiene ejercicios resueltos por mí, con explicaciones personales para comprender mejor los ejercicios, y que puede contener errores. Los enunciados han sido reda
Toda la teoría y ejercicios resueltos de los temas 1, 2 y 4 de algebra. Este documento contiene ejercicios resueltos por mí, con explicaciones personales para comprender mejor los ejercicios, y que puede contener errores. Los enunciados han sido redacta
Resumen de las demostraciones del primer parcial de algebra
Resumen de teoría del segundo parcial de algebra
He publicado nuevos apuntes de 1º Economía y Empresa: SUMMARY-BUSINESS.pdf
He publicado nuevos ejercicios de 1º Informática: 1819-gm-dgmf-dgme-ejercicios-practicas-cnii.pdf
apuntes
-
Teoria
He publicado nuevos apuntes de 4º Proyectos: Teoria
apuntes
-
Teoria y ejercicios
He publicado nuevos apuntes de 4º Tecnología de Fabricación: Teoria y ejercicios
He publicado nuevos apuntes de 4º Construcciones Industriales: practicas-resueltas.pdf
apuntes
-
Teoria y ejercicios
He publicado nuevos apuntes de 3º Resistencia de Materiales II: Teoria y ejercicios
apuntes
-
Teoria y ejercicios
He publicado nuevos apuntes de 3º Transferencia de Calor: Teoria y ejercicios
apuntes
-
Ejercicios y teoria
He publicado nuevos apuntes de 2º Química: Ejercicios y teoria
apuntes
-
Ejercicios
He publicado nuevos apuntes de 2º Mecánica: Ejercicios
apuntes
-
Ejercicios
He publicado nuevos apuntes de 1º Física II: Ejercicios
apuntes
-
Ejercicios y teoria
He publicado nuevos apuntes de 1º Cálculo II: Ejercicios y teoria
apuntes
-
Ejercicios y teoria
He publicado nuevos apuntes de 1º Estadística y Probabilidad: Ejercicios y teoria
apuntes
-
Ejercicios
He publicado nuevos apuntes de 1º Informática: Ejercicios
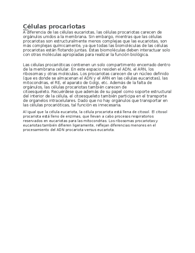
He publicado nuevos apuntes de 1º Antropología: Celulas-procariotas.docx
He publicado nuevos apuntes de 3º Mecánica de Fluidos: informe-5-de-fluidos.docx
He publicado nuevos apuntes de 3º Mecánica de Fluidos: informe-7-de-fluidos.docx
He publicado nuevos apuntes de 3º Mecánica de Fluidos: Informe-3-de-fuidos.docx
He publicado nuevos apuntes de 3º Mecánica de Fluidos: Informe-de-bombas.pdf
He publicado nuevos apuntes de 4º Métodos Numéricos en Sólidos y Fluidos: leyes-de-semejanza.pdf
He publicado nuevos apuntes de 1º Cálculo: Informe-numero-de-Reynolds.pdf
He publicado nuevos apuntes de 1º Economía y Empresa: TRABAJO-DE-INTRODUCCION-2.pdf
He publicado nuevos apuntes de 1º Cálculo: 440050546-calculo-diferencial-eje-2-act.docx
He publicado nuevos apuntes de 1º Cálculo: pdf-calculo-diferencial-eje-3compress.pdf
He publicado nuevos apuntes de 1º Cálculo: 437653543-100410-145-Calculo-Diferencial.docx
He publicado nuevos apuntes de 1º Cálculo: 426865662-Trabajo-de-Claculo-Diferencial-e-Integral-Unidad-3-Caso-Practico.docx
He publicado nuevos apuntes de 1º Cálculo: 426168384-Calculo-Diferencial-Trabajo.docx
He publicado nuevos apuntes de 1º Cálculo: 434907891-Calculo-Diferencial-e-Integral.docx
He publicado nuevos apuntes de 1º Cálculo: 450627594-Calculo-diferencial-julieth-docx.docx