chevron_left
chevron_right
Todo
Ejercicios
Exámenes
chevron_left
chevron_right

He publicado nuevos examenes de 1º Cálculo: Problemas-del-tema-IV.pdf

2 páginas
Anónimo

@Anónimo

He publicado nuevos ejercicios de 1º Cálculo: Problemas-del-Tema-I-5.pdf

2 páginas
Anónimo

@Anónimo

He publicado nuevos ejercicios de 1º Cálculo: Problemas-del-Tema-I-4.pdf

3 páginas
Anónimo

@Anónimo

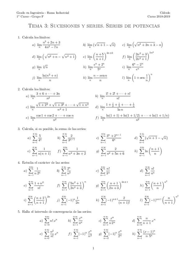
He publicado nuevos ejercicios de 1º Cálculo: Problemas-del-Tema-I-3.pdf

5 páginas
Anónimo

@Anónimo

He publicado nuevos ejercicios de 1º Cálculo: Problemas-del-tema-I-2.pdf

3 páginas
Anónimo

@Anónimo

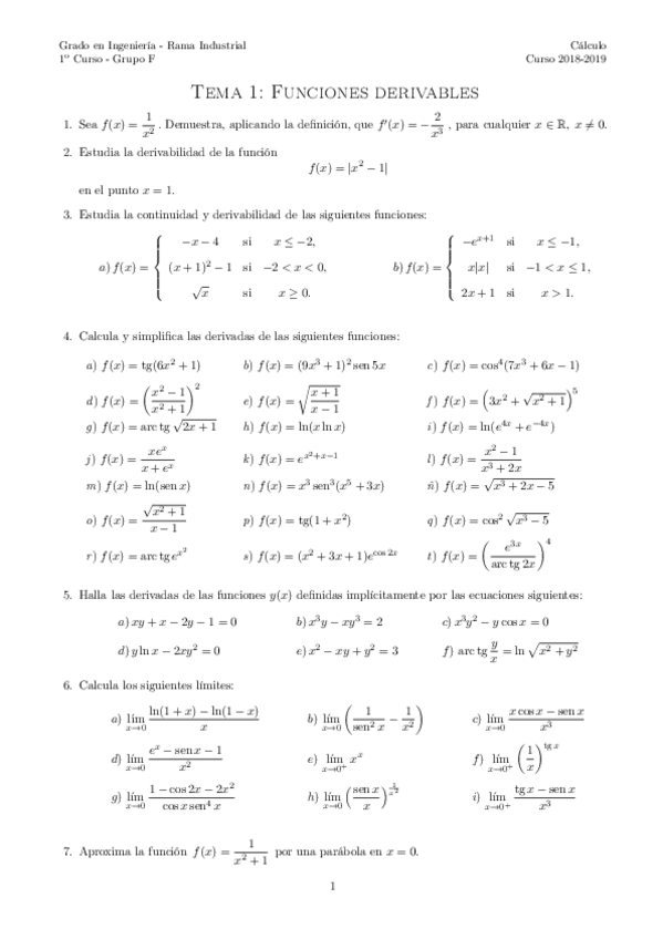
He publicado nuevos ejercicios de 1º Cálculo: Problemas-del-tema-I-1.pdf

3 páginas
¡Estás al día!

¡Estás al día!

Has visto todos los archivos