Todo
Apuntes
Exámenes
Otros
Prácticas
Test
Trabajos
chevron_left
chevron_right

He publicado nuevos apuntes de 2º Calidad en la Edificacion: RECOPILACION PREGUNTAS CALIDAD.pdf.pdf

20 páginas

He publicado nuevos apuntes de 2º Calidad en la Edificacion: PREGUNTAS-DE-EXAMEN-CALIDAD.pdf

5 páginas

He publicado nuevos apuntes de 2º Calidad en la Edificacion: TEMA 5_AGENTES DE LA EDIFICACION.pdf.pdf

4 páginas

TEMA 5 2025

3 páginas

APUNTES T1 2025

6 páginas

He publicado nuevos apuntes de 2º Calidad en la Edificacion: Tema-3-Supervision-y-control.pdf

4 páginas

He publicado nuevos apuntes de 2º Calidad en la Edificacion: Tema-2. Normalización y evaluación de la conformidad.pdf

5 páginas

He publicado nuevos apuntes de 2º Calidad en la Edificacion: TEMA 4_SISTEMAS DE GESTION DE LA CALIDAD.pdf.pdf

3 páginas

He publicado nuevos apuntes de 2º Calidad en la Edificacion: TEMA 3_SUPERVISION Y CONTROL.pdf.pdf

4 páginas

He publicado nuevos apuntes de 2º Calidad en la Edificacion: Tema-5.-Agentes-de-la-LOE.pdf

2 páginas

He publicado nuevos apuntes de 2º Calidad en la Edificacion: Tema-4.-Sistemas-de-gestion-de-calidad.pdf

2 páginas

He publicado nuevos apuntes de 2º Calidad en la Edificacion: Tema-3.-Controladores..pdf

1 página

He publicado nuevos apuntes de 2º Calidad en la Edificacion: Tema-2.-Normalizacion-inspeccion-reglamentaria-y-certificacion..pdf

2 páginas

He publicado nuevos apuntes de 2º Calidad en la Edificacion: Tema-1.-Introduccion-a-la-calidad.pdf

5 páginas

He publicado nuevos apuntes de 2º Calidad en la Edificacion: Tema-1. Introducción a la calidad.pdf

6 páginas

He publicado nuevos apuntes de 2º Calidad en la Edificacion: Calidad-2.pdf

15 páginas

He publicado nuevos apuntes de 2º Calidad en la Edificacion: TEMA 2_NORMALIZACION Y CERTIFICACION.pdf.pdf

4 páginas

He publicado nuevos apuntes de 2º Calidad en la Edificacion: TEMA 1_INTRODUCCION A LA CALIDAD.pdf

4 páginas

He publicado nuevos practicas de 2º Calidad en la Edificacion: PRACTICA-3-CALIDAD.pdf

12 páginas

He publicado nuevos practicas de 2º Calidad en la Edificacion: PRACTICA-1-CALIDAD.pdf

7 páginas

apuntes

-

Apuntes

He publicado nuevos apuntes de 2º Calidad en la Edificacion: Apuntes

TEMA1.pdf
TEMA2.pdf
TEMA3.pdf
TEMA4.pdf
TEMA5.pdf

practicas

-

PRÁCTICAS CURSO COMPLETO

He publicado nuevos practicas de 2º Calidad en la Edificacion: PRÁCTICAS CURSO COMPLETO

PRACTICA-1.pdf
PRACTICA-2.pdf
PRACTICA-3.pdf

Preguntas exámenes de calidad de la edificación. Recopiladas de varios exámenes atrás.

5 páginas

Teoría de todos los temas de calidad de la edificación. En el tema 5, salen los contenidos de los temas 6 y 7.

10 páginas

He publicado nuevos apuntes de 2º Calidad en la Edificacion: Apuntes-curso-entero.pdf

10 páginas

practicas

-

Prácticas del curso

Carpeta con las 3 prácticas que hicimos durante el curso

Practica-1.pdf
Practica-3.pdf
Practica-2.pdf

He publicado nuevos examenes de 2º Calidad en la Edificacion: 2-Convocatoria-Calidad.pdf

2 páginas

He publicado nuevos examenes de 2º Calidad en la Edificacion: PARCIAL-CALIDAD-RESUELTO-12-2024.pdf

3 páginas

No está completo

1 página

He publicado nuevos practicas de 2º Calidad en la Edificacion: trabajo-calidad-PRACTICA-1.pdf

7 páginas

He publicado nuevos examenes de 2º Calidad en la Edificacion: EXAMEN-CALIDAD-1-CONVOCATORIA.pdf

1 página

He publicado nuevos examenes de 2º Calidad en la Edificacion: EXAMEN-CALIDAD-PARCIAL.pdf

1 página

He publicado nuevos examenes de 2º Calidad en la Edificacion: PRIMERA-CONVOCATORIA-CALIDAD.pdf

1 página

He publicado nuevos examenes de 2º Calidad en la Edificacion: POSIBLES-PREGUNTAS-TEMA-2.pdf

3 páginas

He publicado nuevos apuntes de 2º Calidad en la Edificacion: PRACTICA-2-CALIDAD.pdf

6 páginas

He publicado nuevos apuntes de 2º Calidad en la Edificacion: PRACTICA-3-CALIDAD.pdf

24 páginas

He publicado nuevos apuntes de 2º Calidad en la Edificacion: PRACTICA-1-CALIDAD.pdf

7 páginas

He publicado nuevos examenes de 2º Calidad en la Edificacion: preguntas-de-examen.pdf

4 páginas

He publicado nuevos apuntes de 2º Calidad en la Edificacion: TEORIA-CALIDAD.pdf

5 páginas

He publicado nuevos examenes de 2º Calidad en la Edificacion: POSIBLES-PREGUNTAS-TEMA-1.pdf

2 páginas

He publicado nuevos apuntes de 2º Calidad en la Edificacion: 100-PREGUNTAS-SIN-RESPUESTA-PARA-ESTUDIAR.pdf

8 páginas

He publicado nuevos examenes de 2º Calidad en la Edificacion: examen-convoc-2024.pdf

1 página

He publicado nuevos examenes de 2º Calidad en la Edificacion: Parcial-calidad-2024.pdf

1 página

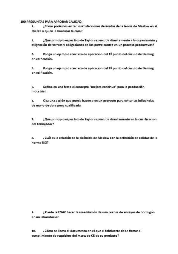
He publicado nuevos apuntes de 2º Calidad en la Edificacion: 100-PREGUNTAS-PARA-APROBAR-CALIDAD.pdf

10 páginas

He publicado nuevos apuntes de 2º Calidad en la Edificacion: TEMAS.pdf

16 páginas

He publicado nuevos apuntes de 2º Calidad en la Edificacion: CALIDADTEMARIOTEST20242025.pdf

50 páginas

He publicado nuevos apuntes de 2º Calidad en la Edificacion: APUNTES-DE-CALIDAD-COMPLETOS.pdf

14 páginas
Anónimo

@Anónimo

He publicado nuevos apuntes de 2º Calidad en la Edificacion: Tema-4-Sistemas-de-gestion-de-calidad.pdf

2 páginas
Anónimo

@Anónimo

He publicado nuevos apuntes de 2º Calidad en la Edificacion: Tema-2-Normalizacion-certificacion....pdf

2 páginas
Anónimo

@Anónimo

He publicado nuevos apuntes de 2º Calidad en la Edificacion: Tema-1-Introduccion.pdf

5 páginas

He publicado nuevos practicas de 2º Calidad en la Edificacion: PRACTICA-3-CALIDAD.pdf

8 páginas

He publicado nuevos practicas de 2º Calidad en la Edificacion: P1CALIDAD2425copia.docx

word

He publicado nuevos practicas de 2º Calidad en la Edificacion: P1CALIDAD2425.pdf

12 páginas

He publicado nuevos practicas de 2º Calidad en la Edificacion: PRACTICA-2-CALIDAD.pdf

9 páginas

He publicado nuevos practicas de 2º Calidad en la Edificacion: PRACTICA-1-CALIDAD.pdf

8 páginas

apuntes

-

PRACTICAS

He publicado nuevos apuntes de 2º Calidad en la Edificacion: PRACTICAS

practica-1-final.pdf
PRACTICA-2.pdf
PRACTICA-3.pdf

He publicado nuevos apuntes de 2º Calidad en la Edificacion: Tema-5-Agentes-del-proceso-edificatorio.pdf

2 páginas

He publicado nuevos apuntes de 2º Calidad en la Edificacion: Tema-4-Sistemas-de-gestion-de-la-calidad.pdf

2 páginas

He publicado nuevos apuntes de 2º Calidad en la Edificacion: Tema-3-Supervision-y-control.pdf

2 páginas

He publicado nuevos apuntes de 2º Calidad en la Edificacion: Tema-2-Normalizacion-inspeccion-reglamentaria-y-certificacion.pdf

2 páginas