Sr_Tesla
RESOLUCIÓN_RELACIONES_2022_2023
RELACION-4.pdf
16 páginas
RELACION-2.pdf
20 páginas
RELACION-5.pdf
10 páginas
RELACION-6.pdf
9 páginas
RELACION-7.pdf
21 páginas
RELACION-9.pdf
8 páginas
RELACION-10.pdf
36 páginas
Apuntes - EXAMENEXTRII-20212022.pdf
pdf
15 páginas
31
0
Apuntes - RELACION-4.pdf
32
Apuntes - 24-ENERO-2020.pdf
26
Apuntes - JULIO-2020.pdf
19 páginas
21
Apuntes - ORDINARIA12021.pdf
26 páginas
23
Apuntes - 2020T3.pdf
24
Apuntes - RELACION-7.pdf
20
Apuntes - RELACION-2.pdf
Apuntes - RELACION-5.pdf
Apuntes - 2020T2.pdf
7 páginas
17
Apuntes - 2020T1.pdf
6 páginas
19
Apuntes - RELACION-6.pdf
18
Ejercicios - Problema-T4RESUELTOS.pdf
12 páginas
Apuntes - RELACION-10.pdf
Exámenes - examenCEene-2020.pdf
1 página
Exámenes - examen-CEI-enero-2021.pdf
3 páginas
Exámenes - examen-tipo-CEI-.pdf
Apuntes - RELACION-9.pdf
14
Ejercicios - T7-EJERCICIOS.pdf
13 páginas
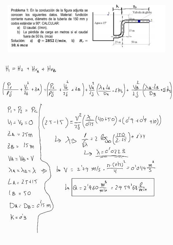
Exámenes - PROBLEMA-1.pdf
15