Portada
Asignatura
Grado en Ingeniería Aeroespacial (UPM)
Ciencia de los Materiales
Fecha de subida
09 nov 2024
Categoría
apuntes
Información
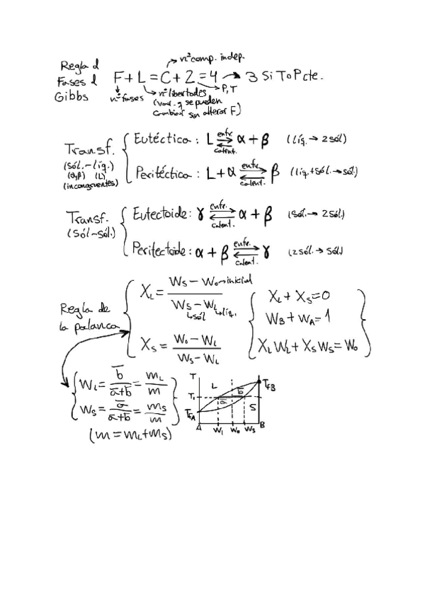
Formulario Tema 2 de Materiales (Diagramas de fases)
Etiquetas
Prácticas - Practica 2.docx
docx
87
1
Prácticas - P3.rar
rar
48
0
Apuntes - TEMA 1.pdf
pdf
9 páginas
1065
9
Apuntes - TEMA 19.pdf
25 páginas
916
2
Apuntes - TEMA 20.pdf
6 páginas
918
4
Exámenes - Examen Parcial 2 (Test) Metales 2.pdf
4 páginas
44
10
Exámenes - Mat. Parcial 2017-2018.docx
133
Apuntes - TEMA 11.pdf
3 páginas
829
Prácticas - Practica 4.docx
74
Exámenes - Examen Final Parte 2 Enero 2015.pdf
928
5
Apuntes - TEMA 14.pdf
12 páginas
785
Apuntes - TEMA 15.pdf
8 páginas
740
Exámenes - PREGUNTAS-PARTE-DOS-MATERIALES.pdf
1157
17
Apuntes - TEMA 12.pdf
733
Apuntes - TEMA 2.pdf
743
Apuntes - TEMA 4.pdf
15 páginas
771
Apuntes - TEMA 13.pdf
687
Apuntes - TEMA 18.pdf
5 páginas
666
Apuntes - TEMA 3.pdf
711
Apuntes - TEMA 16.pdf
651
Información
Formulario Tema 2 de Materiales (Diagramas de fases)