Portada
Asignatura
Grado en Ingeniería de Materiales (URJC)
Ciencia e Ingeniería de Materiales
Fecha de subida
24 nov 2022
Categoría
apuntes
Etiquetas
Exámenes - EXAMEN-RESUELTO-1er-parcial-CIM.pdf
pdf
6 páginas
172
4
Apuntes - Ejercicios-Tema-6-I-.pdf
1 página
115
1
Apuntes - 8.-Metales.pdf
102
Apuntes - 9.-Ceramicos.pdf
3 páginas
93
2
Apuntes - 10.-Polimeros.pdf
5 páginas
96
3
Apuntes - 4.-Estructura-del-estado-solido.pdf
Apuntes - Tema-7.-Fabricacion-y-procesado-de-los-materiales.pdf
7 páginas
82
Apuntes - 2.-Intro-a-los-materiales.pdf
4 páginas
89
Apuntes - 3.-Clasificacion-de-materiales.pdf
88
Apuntes - 11.-Materiales-compuestos-y-biomateriales.pdf
2 páginas
81
Apuntes - 6.-Comportamiento-mecanico.pdf
12 páginas
Apuntes - 5.-Microestructura.pdf
85
Apuntes - 1.-Ciencia-e-ingenieria-de-materiales.pdf
77
7
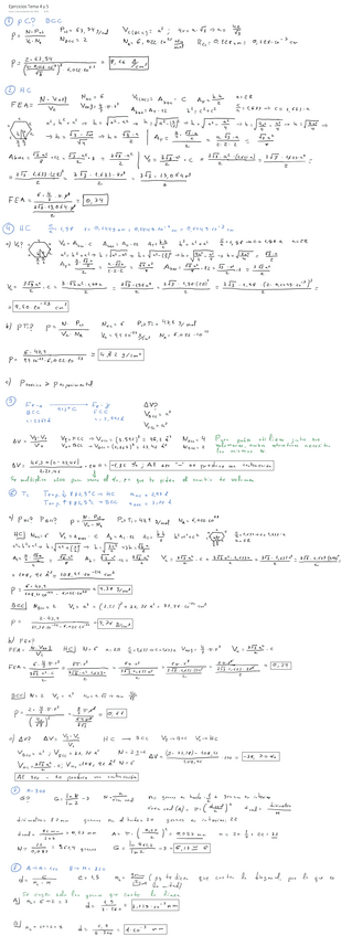
Apuntes - Ejercicios-Tema-4-5.pdf
91
Ejercicios - Ejercicios-Temas-4-y-5-CIM.pdf
75
Apuntes - Ejercicios-tema-6-II-.pdf
71
Ejercicios - Ejercicios-T6.docx
docx
0
Ejercicios - Ejercicios-Metales-CIM.pdf
55
Apuntes - T6-CIM-comportamiento-mecanico.pdf
46
Apuntes - ESQUEMAS.docx