mrmentalcreator
EJERCICIO 11.13 DEL LIBRO MECÁNICA VECTORIAL PARA INGENIEROS. DINÁMICA-NOVENA EDICIÓN-BEER, JOHNSTON, CORNWELL
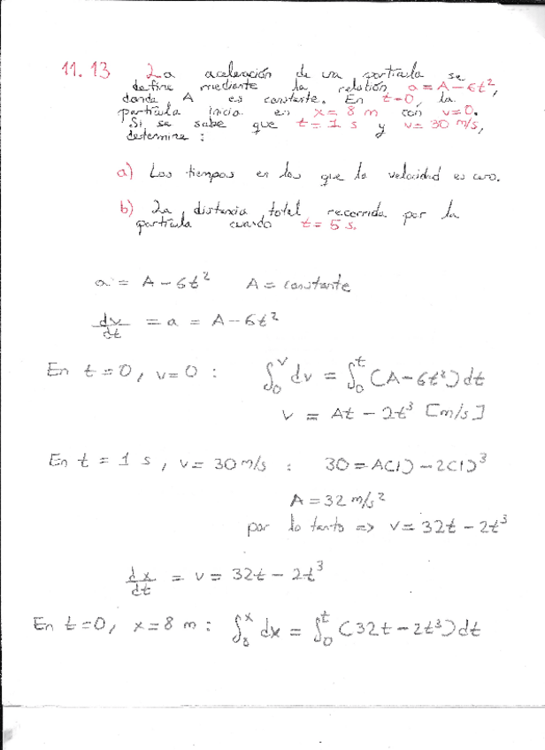
EJERCICIO-11.13.-TIEMPO-Y-DISTANCIA-TOTAL.-CINEMATICA-Y-DINAMICA.pdf
3 páginas
Apuntes - Fisica-I-Momentos-de-Inercia-de-Solidos.pdf
pdf
1
0
Ejercicios - MOMENTO-DE-INERCIA-DE-UN-CILINDRO-HUECO.-CINEMATICA-Y-DINAMICA.pdf
1 página
Ejercicios - EJERCICIO-11.7.-VELOCIDAD-ACELERACION-Y-DISTANCIA-TOTAL.-CINEMATICA-Y-DINAMICA.pdf
2 páginas
4
Ejercicios - EJERCICIO-11.13.-TIEMPO-Y-DISTANCIA-TOTAL.-CINEMATICA-Y-DINAMICA.pdf
3
Apuntes - Fisica-I-Dinamica-Rotacional.pdf
Apuntes - Fisica-I-Trabajo-y-Potencia-en-Movimiento-Rotacional.pdf
Ejercicios - EJERCICIO-11.135.-RADIO-MINIMO-DE-UNA-CARRETERA.-ACELERACION-NORMAL.-CINEMATICA-Y-DINAMICA.pdf
Ejercicios - EJERCICIO-11.137.-ACELERACION.-CINEMATICA-Y-DINAMICA.pdf
Ejercicios - EJERCICIO-5.100.-COORDENADA-DEL-CENTRO-DE-GRAVEDAD.-CINEMATICA-Y-DINAMICA.pdf
Ejercicios - EJERCICIO-5.102.-COORDENADA-DEL-CENTRO-DE-GRAVEDAD.-CINEMATICA-Y-DINAMICA.pdf
Ejercicios - EJERCICIO-11.1.-POSICION-VELOCIDAD-Y-ACELERACION.-CINEMATICA-Y-DINAMICA.pdf
Ejercicios - EJERCICIO-11.9.-TIEMPO-VELOCIDAD-Y-DISTANCIA-TOTAL.-CINEMATICA-Y-DINAMICA.pdf
Ejercicios - EJERCICIO-11.33.-ACELERACION-Y-TIEMPO.-CINEMATICA-Y-DINAMICA.pdf
Ejercicios - EJERCICIO-11.38.-DISTANCIA-Y-TIEMPO.-CINEMATICA-Y-DINAMICA.pdf
Exámenes - MecanicaEx.pdf
4 páginas
Exámenes - 2ParcialMecanicaTipoD.pdf
5 páginas
2