Portada
Asignatura
Grado en Ingeniería de Tecnologías y Servicios de Telecomunicación (UPV)
Circuitos Electrónicos
Fecha de subida
03 oct 2023
Categoría
apuntes
Etiquetas
Apuntes - Circuitos-Electronicos.pdf
pdf
47 páginas
19
3
Prácticas - practica-4-previos-y-examen-CELEC.pdf
3 páginas
328
1
Apuntes - Resumen-1er-Parcial.pdf
7 páginas
227
Prácticas - Resumen-examen-practicas-CELEC.pdf
9 páginas
241
2
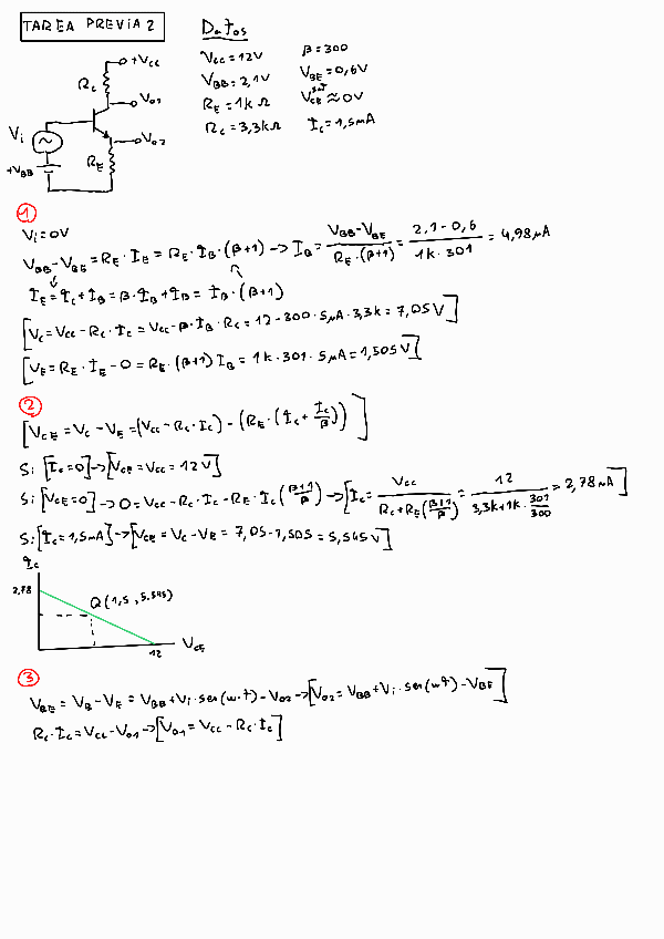
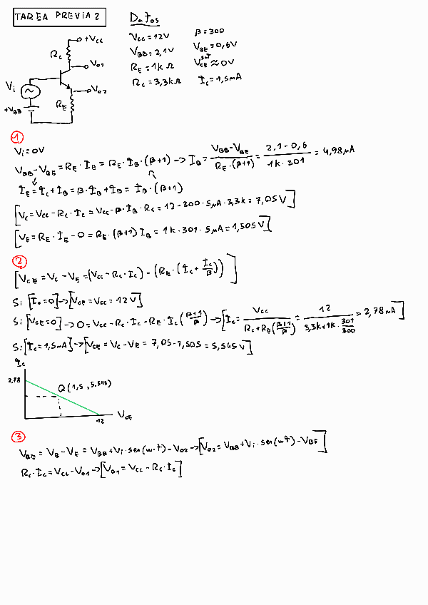
Apuntes - Previo-2.pdf
2 páginas
228
0
Prácticas - Examen-Practica-1.pdf
146
Apuntes - Previo-3.pdf
180
Apuntes - celec-Primer-parcial.pdf
23 páginas
162
Apuntes - TAREA-2-CELEC.pdf
161
Prácticas - Examen-Practica-2.pdf
152
Prácticas - Examen-Practica-3.pdf
138
Prácticas - Examen-Practica-4.pdf
139
Apuntes - Tarea-1.pdf
185
Prácticas - p3TEST.pdf
12 páginas
194
Exámenes - CEPRACTICA3LABORATORIO.pdf
132
Apuntes - Previo-5.pdf
144
Apuntes - CELEC-R2P.pdf
16 páginas
117
Prácticas - Practica-1.pdf
10 páginas
131
Apuntes - celectareas.pdf
153
Apuntes - Tarea-3-Celec.pdf