Portada
Asignatura
Grado en Inglés (URV)
Comunicació Escrita en Català
Fecha de subida
05 jun 2025
Categoría
apuntes
Etiquetas
Prácticas - BraquigrafiaPractica-3.pdf
pdf
4 páginas
81
1
Prácticas - Practica-1Correccio-ortografica.pdf
2 páginas
55
2
Trabajos - TREBALL-A-PARTIR-DE-LECTURES-PAC-SOBRE-CREATIVITAT.pdf
6 páginas
27
0
Trabajos - PROVA-PRACTICA-2.pdf
16 páginas
20
Apuntes - TEMA-3.pdf
1 página
16
Apuntes - TEMA-5.pdf
11
Apuntes - TEMA-12.pdf
12
Apuntes - TEMA-10.pdf
10
Apuntes - Practica-2-resolta.pdf
13
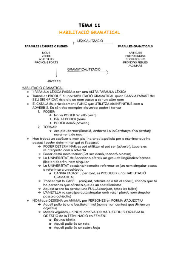
Apuntes - TEMA-11.pdf
3 páginas
9
Apuntes - Adequacio.pdf
8 páginas
6
Apuntes - TEMA-7.pdf
Apuntes - TEMA-5.-SINTAXI-BASES-SINTACTIQUES-DE-LA-FRASE.pdf
5
Apuntes - TEMA-4.pdf
Apuntes - TEMA-8.pdf
Apuntes - TEMA-9.pdf
8
Apuntes - TEMA-2.pdf
3
Apuntes - TEMA-1.pdf
Apuntes - T7.-GRAMATICALITZACIONS-I-LEXICALITZACIONS.pdf
5 páginas
Apuntes - tema-1-toponims.pdf