Anónimo
Portada
Asignatura
Doble Grado en Turismo y Administración y Dirección de Empresas (UV)
Comunicación en Lengua Inglesa para Turismo II
Fecha de subida
09 dic 2020
Categoría
test
Etiquetas
Apuntes - English-for-Tourism-Upper-Intermediate.pdf
pdf
116 páginas
87
3
Apuntes - Unit-1.docx
docx
27
0
Apuntes - Answer-Key.pdf
40 páginas
67
Test - Unit-1-Test-corregido.doc
doc
36
Test - Unit-5-Test-corregido.doc
Exámenes - ENGLISH-UNITS.pdf
24 páginas
35
2
Test - Unit-8A-Test-corregido.doc
26
Test - Unit-2A-Test-corregido.doc
25
Test - Unit-3-Hotel-Branding-corregido.doc
Test - Unit-9-Test-corregido.doc
24
Test - Unit-6A-Test-corregido.doc
23
Apuntes - VOCABULARIO-INGLES-1-10.pdf
6 páginas
30
Test - Unit-7-Test-corregido.doc
22
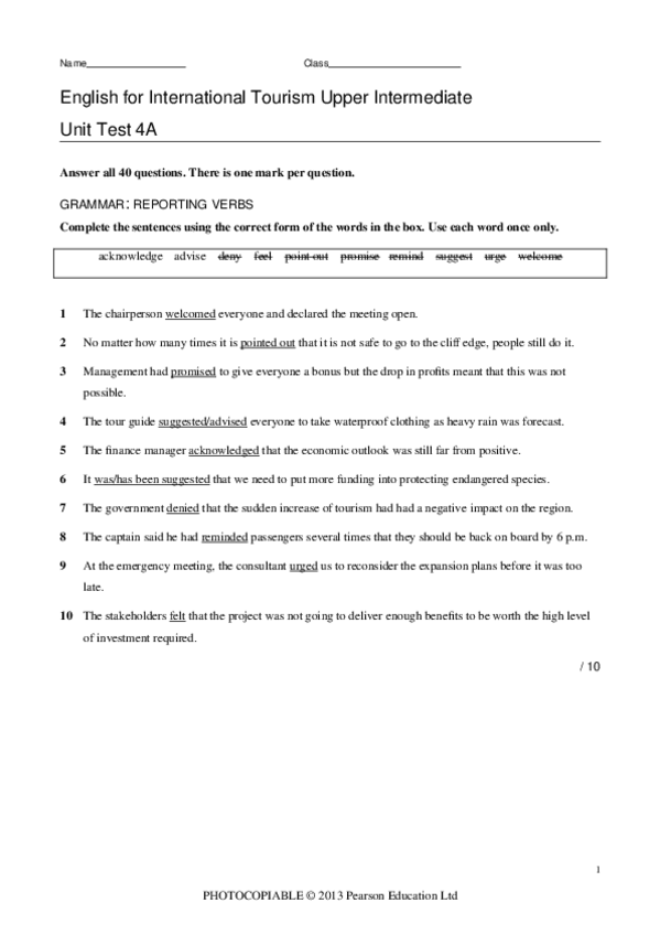
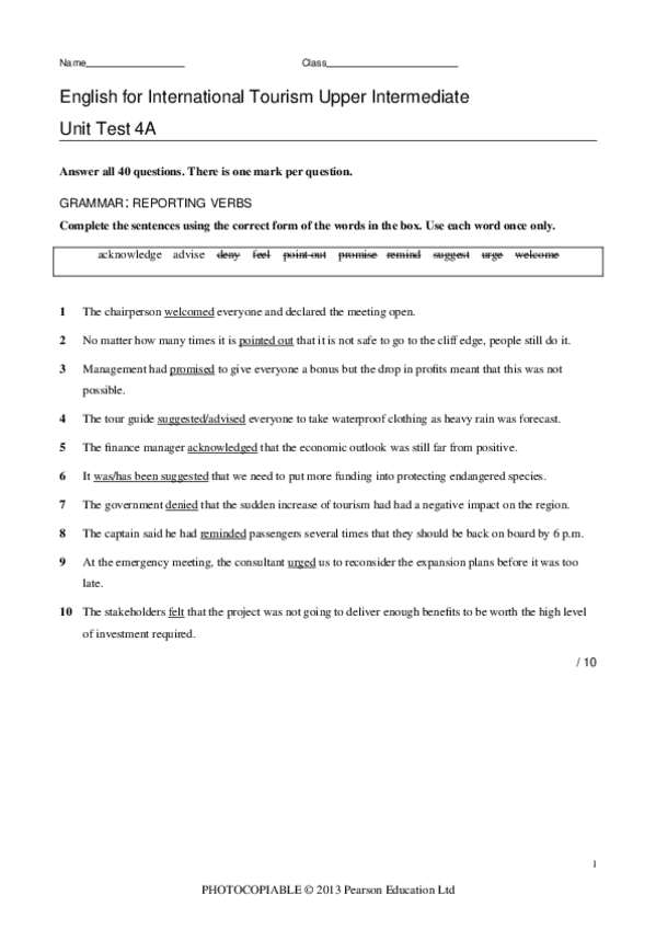
Test - Unit-4A-Test-corregido.doc
21
Test - Unit-10A-Test-corregido.doc
18
Exámenes - vocabulary-units-1-5.pdf
5 páginas
1
Apuntes - GRAMMAR.pdf
2 páginas
15
Exámenes - Writtings-5-paragraph-essay.pdf
4 páginas
19
Exámenes - REPORT-tips.pdf
Apuntes - Extra-ESSAY-May-24.pdf
1 página
7