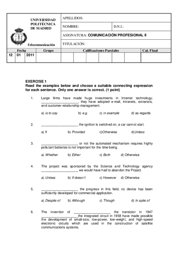
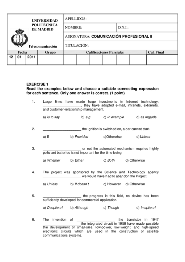
Portada
Asignatura
Grado en Ingeniería de Sonido e Imagen (UPM)
Comunicación Profesional
Fecha de subida
23 ene 2020
Categoría
examenes
Etiquetas
Apuntes - RESUMEN PARCIAL COM_PROF.pdf
pdf
8 páginas
208
4
Prácticas - Comunicacion-profesional.zip
zip
34
0
Apuntes - Informe-sobre-la-pelicula.pdf
2 páginas
32
Exámenes - CP1011JUL.pdf
15 páginas
17
Exámenes - CP0910P3-SOL-2.pdf
5 páginas
14
Exámenes - CP0910P3-SOL-1.pdf
6 páginas
9
Apuntes - Desarrollo-preguntas-1-y-2-Entrevista.pdf
13
Apuntes - Practica4.pdf
9 páginas
16
Exámenes - CP0910JUL.pdf
11 páginas
Exámenes - CP1011ENE.pdf
6
Exámenes - CP0910P1.pdf
Exámenes - CP0910P2-SOL.pdf
12 páginas
Exámenes - CP0910P2-SOL-2.pdf
10 páginas
5
Exámenes - CP0910P2-SOL-3.pdf
7 páginas
7
Exámenes - CP1011JUN.pdf
Apuntes - Practica3.pdf
10
Apuntes - Practica2.pdf
12
Exámenes - CP0910JUN-SOL.pdf
8
Exámenes - CP0910JUL-SOL.pdf
Ejercicios - Ejercicios-Resueltos-Comunicacion-Profesional.pdf
20