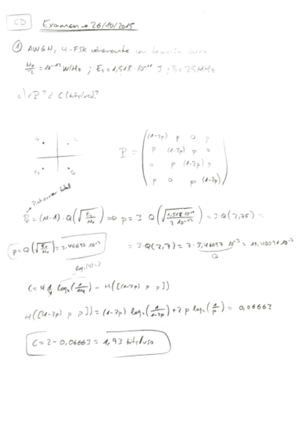
2015_10_26_PI_1_resuelto.pdf

DonDocente

ejers y examenes resueltos

32 archivos·

2016_11_28_PI_2_resuelto.pdf

4 páginas

2016_10_24_PI_1_Solucion.pdf

3 páginas

2015_11_30_PI_2_solu_numerica.pdf

3 páginas

2015_11_30_PI_2_resuelto.pdf

4 páginas

2016_10_24_PI_1_resuelto.pdf

3 páginas

2016_01_11_resuelto.pdf

3 páginas

2015_10_26_PI_1_Sol_num.pdf

2 páginas

2015_10_26_PI_1_resuelto.pdf

4 páginas

2016_01_11_solucion(1).pdf

4 páginas

Abril14.pdf

1 página

Enero2013_resuelto.pdf

1 página

Abril14_resuelto.pdf

2 páginas

Diciembre12.pdf

1 página

Diciembre13_resuelto.pdf

2 páginas

Abril13.pdf

1 página

Enero2013_total 2.pdf

1 página

Diciembre12_resuelto.pdf

1 página

Diciembre13.pdf

1 página

Abril13_resuelto.pdf

1 página

Junio2013_resuelto.pdf

1 página

Mayo2015_resuelto.pdf

2 páginas

Junio2013_definitivo.pdf

6 páginas

Mayo2015.pdf

1 página

Mayo2013_resuelto.pdf

1 página

Mayo2013.pdf

4 páginas

CCDD_Exercises_Block4.pdf

12 páginas

CCDD_Exercises_Block3.pdf

8 páginas

Examenes CD jaime.PDF

80 páginas

CCDD_Exercises_Block2_version2.pdf

4 páginas

Formulario.pdf

4 páginas

Ejercicios_Anexo_Block3.pdf

2 páginas

Ejemplos_clase_sol_numerica.pdf

3 páginas

content_copy

Archivos recomendados