SUERTE_TUPUEDES
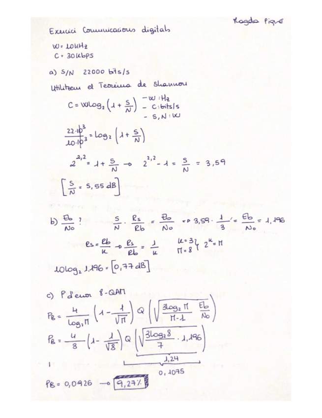
ExerciciComunicacionsDigitalsEntrega.pdf
2 páginas
Ejercicios - Exercici-per-entregar-Tema-6-CDMA.pdf
pdf
1 página
32
0
Exámenes - ExamenComunicacionsDigitals.pdf
10 páginas
25
Exámenes - ExamenLab.pdf
Exámenes - PreguntasParcial2.pdf
5 páginas
23
Apuntes - Formulario-1r-parcial.pdf
19
Ejercicios - Problemes-tema-6-CDMA.pdf
3 páginas
22
Ejercicios - ProblemaPbCD.pdf
Ejercicios - Exercici-per-entregar-T5.-Problema-codificadors-convolucionals.pdf
Ejercicios - ExerciciEntregaCodificador.pdf
24
Exámenes - Llista-de-figures-Control-Lab-Com-Digitals.pdf
9 páginas
Ejercicios - Problemes-T4.-PasBanda.pdf
16
Exámenes - Preguntes.pdf
18
Ejercicios - ProblemesT6.pdf
4 páginas
20
Ejercicios - Exercici-per-entregar-T4.pdf
14
Ejercicios - Problemes-tema-2-i-3.pdf
6 páginas
13
Exámenes - Preguntes-per-practicar-el-Parcial-2.pdf
21
Apuntes - Resum-CD-Temas-1-3.pdf
15
Ejercicios - ExerciciComunicacionsDigitalsEntrega.pdf
17
Ejercicios - Exercici-per-entregar-21-10-22.pdf
Ejercicios - Exercici-per-entregar-T3.pdf
11