Portada
Asignatura
Doble Grado en Ingeniería Biomédica y en Ingeniería de Sistemas y Servicios de Telecomunicaciones (URV)
Comunicacions Òptiques i de Banda Ampla
Fecha de subida
22 ene 2024
Categoría
ejercicios
Etiquetas
Exámenes - Examen-Optiques.pdf
pdf
6 páginas
18
1
Trabajos - ExercicisEntrega2023-2024.pdf
7 páginas
15
0
Apuntes - FormulariProblemesEntrega2023-2024.pdf
1 página
16
Prácticas - P4curs20232024pdf.pdf
15 páginas
11
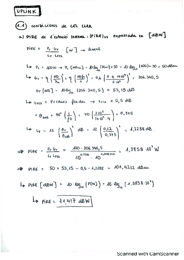
Ejercicios - UPLINK.pdf
3 páginas
8
Prácticas - P2curs20232024.pdf
12 páginas
10
Ejercicios - CamScanner-16-01-2024-23.18.pdf
8 páginas
Ejercicios - AUTOTEST-FO-20223-2024.pdf
2 páginas
Prácticas - PROBLEMES-PROPOSATS-ENTREGA-OBLIGATARIA-2023-224.pdf
Ejercicios - TestSemiconductors.pdf
6
Prácticas - P1curs20232024.pdf
18 páginas
7
Apuntes - ResumTema1.pdf
5
Ejercicios - SOLUCIOI-EXERCICI-9.pdf
4
Ejercicios - solucioI-problema-3-4-I-5-diodes.pdf
3
Apuntes - Tema2FibraOptica-2023-2024.pdf
157 páginas
Apuntes - Tema3SistemesWDM-2023-2024.pdf
87 páginas
Ejercicios - SOLUCIOI-EXERCICI-1.pdf
Ejercicios - SOLUCIOI-EXERCICI-7.pdf
4 páginas
2
Ejercicios - SOLUCIONS-TEST-SEMICONDUCTORS.pdf
Ejercicios - solucions-exercicis-fotonica.pdf
5 páginas