Contabilidad de Costes
He publicado nuevos ejercicios de 2º Contabilidad de Costes: CONT-COSTES-EJERCICIOS.pdf
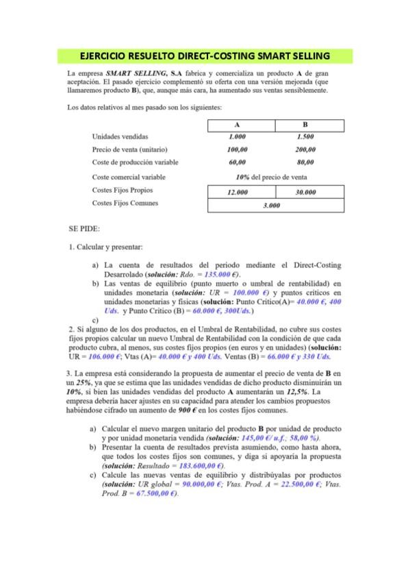
He publicado nuevos ejercicios de 2º Contabilidad de Costes: CASO-PRACTICO-1.7-RESUELTO.pdf
He publicado nuevos ejercicios de 2º Contabilidad de Costes: CASO-PRACTICO-1.5-RESUELTO.pdf
He publicado nuevos ejercicios de 2º Contabilidad de Costes: CASO-PRACTICO-1.4-RESUELTO.pdf
He publicado nuevos ejercicios de 2º Contabilidad de Costes: CASO-PRACTICO-1.2-RESUELTO.pdf
He publicado nuevos ejercicios de 2º Contabilidad de Costes: CASO-PRACTICO-1.1-RESUELTO.pdf
He publicado nuevos ejercicios de 2º Contabilidad de Costes: CASO-PRACTICO-2-TEMA-5-PRESTACIONES-CENTROS.pdf
He publicado nuevos ejercicios de 2º Contabilidad de Costes: CASO-PRACTICO-TEMA-5-PRESTACIONES-CENTROS.pdf
He publicado nuevos ejercicios de 2º Contabilidad de Costes: CASO-PRACTICO-1.8-RESUELTO.pdf
He publicado nuevos ejercicios de 2º Contabilidad de Costes: CASO-PRACTICO-1.6-RESUELTO.pdf
clases de contabilidad de costes
clases en grupo a partir de dos alumnos. 678597538
He publicado nuevos ejercicios de 2º Contabilidad de Costes: ejercicios-contabilidad-2-cuatri-1.pdf
He publicado nuevos ejercicios de 2º Contabilidad de Costes: ejercicios-contabilidad-parte-1.pdf
He publicado nuevos apuntes de 2º Contabilidad de Costes: VoF-primer-parcial.pdf
He publicado nuevos apuntes de 2º Contabilidad de Costes: TEORIA-2-feta.pdf
He publicado nuevos apuntes de 2º Contabilidad de Costes: teoria-costes-I.pdf
He publicado nuevos apuntes de 2º Contabilidad de Costes: esquemas-costes-I.pdf
apuntes
-
Test de evaluación contínua
He publicado nuevos apuntes de 2º Contabilidad de Costes: Test de evaluación contínua
apuntes
-
Apuntes en inglés
He publicado nuevos apuntes de 2º Contabilidad de Costes: Apuntes en inglés
Ejercicios del 1 al 32 del primer cuatri de contabilidad de costes en Castellano
He publicado nuevos ejercicios de 2º Contabilidad de Costes: Ejercicios-Contab-Costes-1er-cuatri.pdf
He publicado nuevos ejercicios de 2º Contabilidad de Costes: Ejercicios-Contab-costes-1er-cuatri.pdf
He publicado nuevos ejercicios de 2º Contabilidad de Costes: Ejercicios-Contab-costes-1er-cuatri.pdf
He publicado nuevos apuntes de 2º Contabilidad de Costes: PRACTICAS-CONTABILIDAD-PRIMER-CUATRI.pdf
He publicado nuevos practicas de 2º Contabilidad de Costes: PRACTICAS-CONTA-SEGUNDO-CUATRI.pdf
He publicado nuevos apuntes de 2º Contabilidad de Costes: TEMA-12-COSTE-ESTANDAR.PDF
He publicado nuevos apuntes de 2º Contabilidad de Costes: TEMA-11-PLANIFICACION-EMPRESARIAL-Y-PRESUPUESTO.PDF
He publicado nuevos apuntes de 2º Contabilidad de Costes: TEMA-10-PRODUCCION-CONJUNTA.PDF
He publicado nuevos apuntes de 2º Contabilidad de Costes: TEMA-9-COSTES-DE-CALIDAD-UNIDADES-PERDIDAS-O-DEFECTUOSAS.PDF
He publicado nuevos apuntes de 2º Contabilidad de Costes: TEMA-8-COSTES-POR-PROCESOS.PDF
He publicado nuevos ejercicios de 2º Contabilidad de Costes: ejercicios-1-cuatri-contabilidad-de-costes.pdf
He publicado nuevos ejercicios de 2º Contabilidad de Costes: ejercicios-2-cuatri-contabilidad-de-costes.pdf
He publicado nuevos apuntes de 2º Contabilidad de Costes: Apuntes-contabilidad-de-costes.pdf
He publicado nuevos apuntes de 2º Contabilidad de Costes: Ejercicios-Tema-10-presentacion-teoria.pdf
He publicado nuevos ejercicios de 2º Contabilidad de Costes: Coste-estandar.pdf
He publicado nuevos apuntes de 2º Contabilidad de Costes: Esquema-tradicional-de-desviaciones.pdf
He publicado nuevos ejercicios de 2º Contabilidad de Costes: Supuestos-2.14-2.17-2.18-2.19-2.22-2.23-y-2.24.pdf
He publicado nuevos ejercicios de 2º Contabilidad de Costes: Supuestos-2.11-2.13-2.15-2.16-y-2.17.pdf
He publicado nuevos ejercicios de 2º Contabilidad de Costes: Supuestos-del-2.6-al-2.10.pdf
He publicado nuevos examenes de 2º Contabilidad de Costes: Examen-enero-2019.pdf
He publicado nuevos examenes de 2º Contabilidad de Costes: Examen-enero-2022.pdf
He publicado nuevos examenes de 2º Contabilidad de Costes: Examen-2024-ENERO-RESUELTO.pdf
He publicado nuevos examenes de 2º Contabilidad de Costes: PASO-A-PASO-CUADERNILLO-1CUATRI.pdf
He publicado nuevos practicas de 2º Contabilidad de Costes: EJ.-2.1-ENUNCIADOPLANTILLA.pdf
He publicado nuevos apuntes de 2º Contabilidad de Costes: Examen Mayo 2025 - Preguntas V o F.pdf
He publicado nuevos ejercicios de 2º Contabilidad de Costes: EVALUACION-CONTINUA-2023-2024.pdf
He publicado nuevos ejercicios de 2º Contabilidad de Costes: evaluacion-continua-contabilidad-de-costes.pdf
He publicado nuevos practicas de 2º Contabilidad de Costes: Ejercicio-evaluacion-continua-T-10.pdf
He publicado nuevos practicas de 2º Contabilidad de Costes: Practicas-Segundo-cuatrimestre-contabilidad-de-costes.pdf
