Actividad 1 evaluable CGE I GADE (16-17) 3 A y B -Enunciado.pdf

ADE3Ortiz

EJERCICIOS PRACTICOS CURSO 2016/2017 con soluciones

43 archivos·

Actividad 1 evaluable CGE I GADE (16-17) 3 A y B -Enunciado.pdf

2 páginas

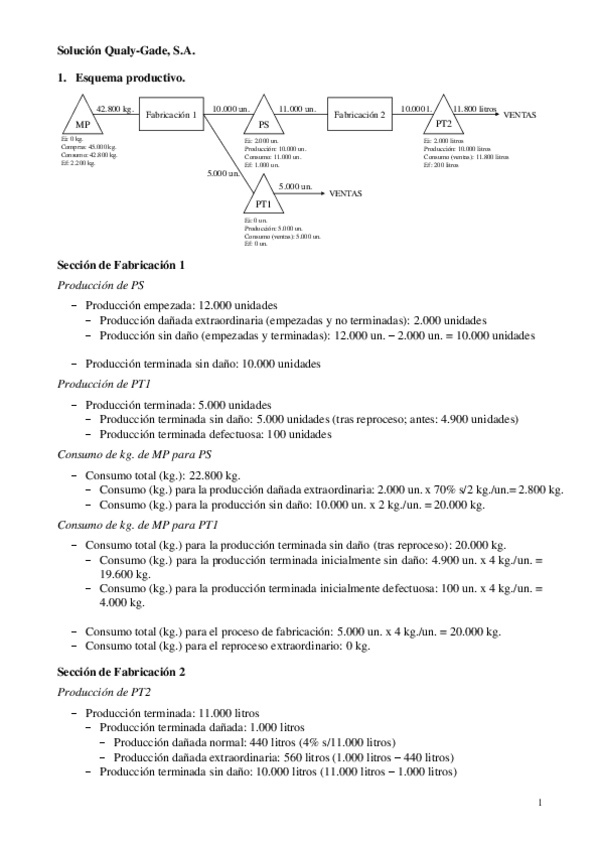
Actividad 1 evaluable CGE I GADE (16-17) 3 A y B -Solución.pdf

5 páginas

Actividad 1 evaluable CGE I GADE (16-17) 3 D -Enunciado.pdf

2 páginas

Actividad 1 evaluable CGE I GADE (16-17) 3 D -Solución.pdf

5 páginas

Actividad de repaso 1 CGE I (16-17) -Enunciado.pdf

2 páginas

Actividad de repaso 1 CGE I (16-17) -Solución.pdf

5 páginas

Actividad de repaso 2 CGE I (16-17) -Enunciado.pdf

4 páginas

Actividad de repaso 2 CGE I (16-17) -Solución.pdf

7 páginas

Actividad de repaso 3 CGE I (16-17) -Enunciado.pdf

2 páginas

Actividad de repaso 3 CGE I (16-17) -Solución.pdf

4 páginas

Actividad de repaso 4 CGE I (16-17) -Enunciado.pdf

2 páginas

Actividad de repaso 4 CGE I (16-17) -Solución.pdf

5 páginas

Actividad de repaso 5 CGE I (16-17) -Enunciado.pdf

4 páginas

Actividad de repaso 5 CGE I (16-17) -Solución.pdf

7 páginas

Actividad de repaso 6 CGE I (16-17) -Enunciado.pdf

3 páginas

Actividad de repaso 6 CGE I (16-17) -Enunciado.pdf

3 páginas

Actividad de repaso 6 CGE I (16-17) -Solución.pdf

7 páginas

Actividad evaluable 1 CGE I GADE (16-17) 3 C -Enunciado.pdf

2 páginas

Actividad evaluable 1 CGE I GADE (16-17) 3 C -Solución.pdf

5 páginas

Actividad evaluable 2 CGE I (16-17) 3 A y B -Enunciado.pdf

2 páginas

Actividad evaluable 2 CGE I (16-17) 3 A y B -Solución.pdf

6 páginas

Actividad evaluable 2 CGE I (16-17) 3 C y D GP-1 -Enunciado.pdf

2 páginas

Actividad evaluable 2 CGE I (16-17) 3 C y D GP-1 -Solución.pdf

6 páginas

Actividad evaluable 2 CGE I (16-17) 3 D GP-2 -Enunciado.pdf

2 páginas

Actividad evaluable 2 CGE I (16-17) 3 D GP-2 -Solución.pdf

6 páginas

Actividad evaluable 2 CGE I (16-17) 3 D GP-2 -Enunciado.pdf

2 páginas

Actividad evaluable 2 CGE I (16-17) 3 D GP-2 -Solución.pdf

6 páginas

Actividad evaluable 3 CGE I (16-17) 3 A y B -Enunciado.pdf

2 páginas

Actividad evaluable 3 CGE I (16-17) 3 A y B -Solución.pdf

5 páginas

Actividad evaluable 3 CGE I (16-17) 3 D GP-1 -Enunciado.pdf

2 páginas

Actividad evaluable 3 CGE I (16-17) 3 D GP-1 -Solución.pdf

5 páginas

Actividad evaluable 3 CGE I (16-17) 3C y 3D GP2 -Enunciado.pdf

2 páginas

Actividad evaluable 3 CGE I (16-17) 3C y 3D GP2 -Solución.pdf

5 páginas

Actividad Evaluable 4 CGE I (16-17) 3 A- B, D GP-2 -Enunciado CORREGIDO.pdf

2 páginas

Actividad Evaluable 4 CGE I (16-17) 3 A- B, D GP-2 -Solución.pdf

5 páginas

Actividad Evaluable 4 CGE I (16-17) 3 C- D GP-1 -Enunciado.pdf

2 páginas

Actividad Evaluable 4 CGE I (16-17) 3 C- D GP-1 -Solución.pdf

5 páginas

Actividad no evaluable 2 CGE I (16-17) 3 D -Enunciado.pdf

3 páginas

Actividad no evaluable 2 CGE I (16-17) 3 D -Solución.pdf

5 páginas

Actividad no evaluable 3 CGE I (16-17) -Enunciado.pdf

2 páginas

Actividad no evaluable 3 CGE I (16-17) -Solución.pdf

5 páginas

Actividad no evaluable 2 CGE I (16-17) -Enunciado.pdf

2 páginas

Actividad no evaluable 2 CGE I (16-17) -Solución.pdf

5 páginas

content_copy

Archivos recomendados