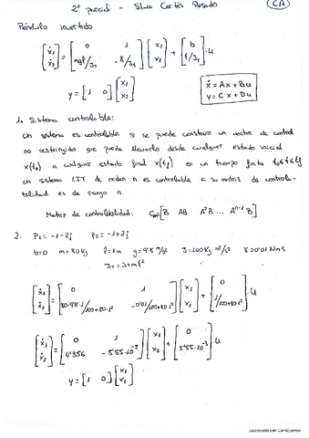
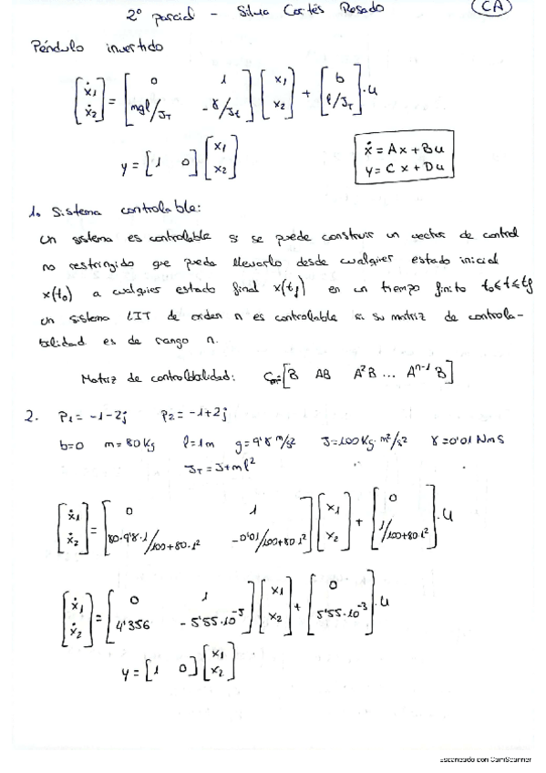
Silvia_95
Parcial-2-CA.pdf
4 páginas
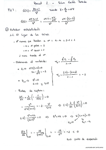
Exámenes - parcial-1-CA.pdf
pdf
5 páginas
22
0
Trabajos - Proyecto final Enrique García Cabello.pdf
20 páginas
26
Exámenes - Parcial-2-CA.pdf
18
Exámenes - Parcial2.pdf
1 página
17
Exámenes - Parcial1Apartado3.pdf
14
1