Todo
Apuntes
Ejercicios
Exámenes
Prácticas
chevron_left
chevron_right

apuntes

-

Formularios

He publicado nuevos apuntes de 1º Control de Procesos: Formularios

Control-de-Procesos-Resumen-ejercicios-Tipo-Parcial-1.pdf
Resumen-Control-de-Procesos-2-Parcial.pdf

He publicado nuevos apuntes de 1º Control de Procesos: APUNTES-COMPLETOS.pdf

43 páginas

He publicado nuevos apuntes de 1º Control de Procesos: RESUMEN-2-PARCIAL.pdf

2 páginas

He publicado nuevos apuntes de 1º Control de Procesos: RESUMEN-PARA-FINAL.pdf

10 páginas

Suficientes ejercicios como para obtener un 10 en este parcial.

16 páginas

He publicado nuevos apuntes de 1º Control de Procesos: Ordinario-Mayo-2025-1a-Parte.pdf

2 páginas

Notas 2º Cuatrimestre

excel

He publicado nuevos examenes de 1º Control de Procesos: G4-Parcial-1-2025.pdf

1 página

examenes

-

Parciales 1 - Resueltos por pasos

He publicado nuevos examenes de 1º Control de Procesos: Parciales 1 - Resueltos por pasos

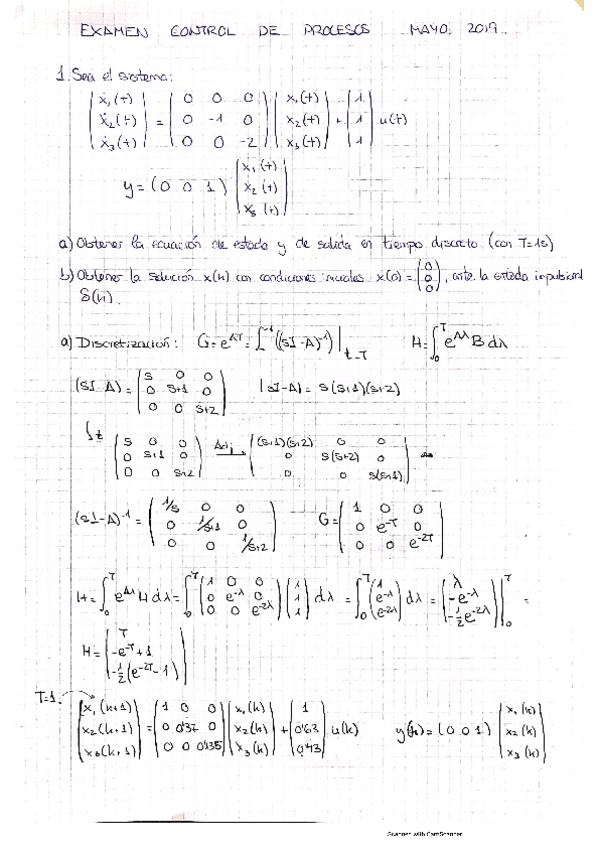
Parcial-marzo-2019-C.pdf
Parcial-marzo-2018.pdf
Parcial-marzo-2019-B.pdf
Parcial-Marzo-2025-G3.pdf
Parcial-marzo-2025-G1.pdf

He publicado nuevos ejercicios de 1º Control de Procesos: Ejercicios-Repaso-1er-Parcial.pdf

3 páginas

He publicado nuevos apuntes de 1º Control de Procesos: PARCIAL-2-2024.pdf

1 página

He publicado nuevos apuntes de 1º Control de Procesos: PARCIAL-1-2024.pdf

1 página

He publicado nuevos examenes de 1º Control de Procesos: CdPejercicios-tipoparcial1.pdf

8 páginas
Anónimo

@Anónimo

He publicado nuevos ejercicios de 1º Control de Procesos: Problemas-de-modelado-RESUELTOS.pdf

8 páginas

He publicado nuevos apuntes de 1º Control de Procesos: Resumen-Esquematizado-CP.pdf

10 páginas

He publicado nuevos examenes de 1º Control de Procesos: Examen-Ordinario-Mayo-2024.pdf

2 páginas

He publicado nuevos practicas de 1º Control de Procesos: Practica-control.pdf

20 páginas

He publicado nuevos examenes de 1º Control de Procesos: Parcial-marzo-2024-Grupo2.pdf

pdf
Anónimo

@Anónimo

He publicado nuevos examenes de 1º Control de Procesos: parcial-marzo-2024-prof-Dolores.pdf

pdf

He publicado nuevos practicas de 1º Control de Procesos: Practica-1.pdf

10 páginas

He publicado nuevos practicas de 1º Control de Procesos: Practica.pdf

13 páginas

He publicado nuevos apuntes de 1º Control de Procesos: Apuntes-y-Examener-2o-Parcial.pdf

24 páginas

He publicado nuevos apuntes de 1º Control de Procesos: Apuntes-y-Examenes-1er-Parcial.pdf

20 páginas
Anónimo

@Anónimo

He publicado nuevos apuntes de 1º Control de Procesos: resumen-Parcial-1.pdf

4 páginas

examenes

-

Parciales curso 22/23

He publicado nuevos examenes de 1º Control de Procesos: Parciales curso 22/23

Primer-parcial.pdf
Segundo-parcial-A.pdf
Segundo-parcial-B.pdf

He publicado nuevos examenes de 1º Control de Procesos: parcial-2-2023-tarde.pdf

2 páginas

He publicado nuevos examenes de 1º Control de Procesos: Parcial-2-2023.pdf

2 páginas

He publicado nuevos apuntes de 1º Control de Procesos: Parcial-2-2023-grupo-tarde.pdf

2 páginas

He publicado nuevos examenes de 1º Control de Procesos: Parcial 2 2023 grupo mañana.pdf

1 página

He publicado nuevos apuntes de 1º Control de Procesos: 3erparcialabril2018G2solucion.pdf

2 páginas

He publicado nuevos examenes de 1º Control de Procesos: Parcial-2-2022.pdf

1 página

He publicado nuevos examenes de 1º Control de Procesos: Parcial-1-2022.pdf

1 página

He publicado nuevos examenes de 1º Control de Procesos: Parcial-1-2023.pdf

1 página

He publicado nuevos practicas de 1º Control de Procesos: PRACTICACONTROLDEPROCESOS.pdf

14 páginas

He publicado nuevos examenes de 1º Control de Procesos: Parcial-1-2023-Grupo-4.pdf

1 página

He publicado nuevos ejercicios de 1º Control de Procesos: Problemas-Variables-de-Estado.pdf

39 páginas

ejercicios

-

Problemas con solución de toda la asignatura

He publicado nuevos ejercicios de 1º Control de Procesos: Problemas con solución de toda la asignatura

P1.transformadaZ.pdf
P1Transformada-Laplace.pdf
P2.modelado.pdf
P2ModeladoEspacioEstados.pdf
P3.FormasCanonicas.pdf
P3P4P5P6Solucion-Ecuacion-Estado.pdf

apuntes

-

Apuntes de toda la asignatura

He publicado nuevos apuntes de 1º Control de Procesos: Apuntes de toda la asignatura

Apuntes-Control-Realimentacion.pdf
Apuntes-controlabilidad-observabilidad.pdf
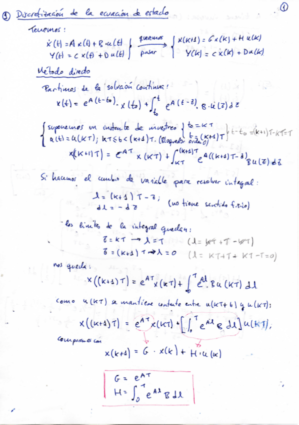
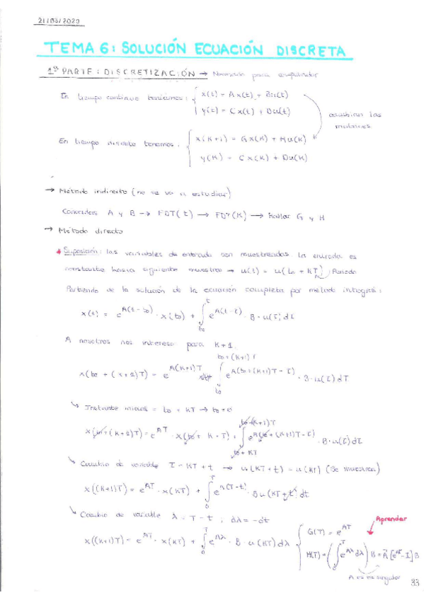
Apuntes-discretizacion-y-solucion-discreta.pdf
Apuntes-diseno-observador.pdf
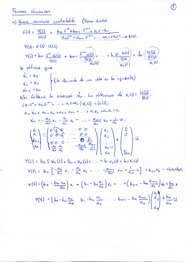
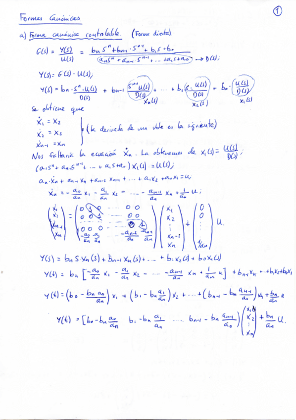
Apuntes-Forma-Canonica.pdf
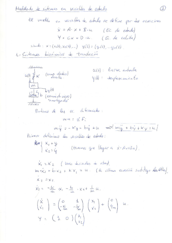
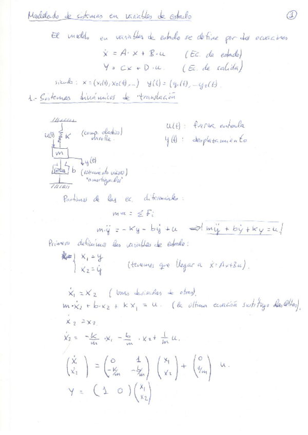
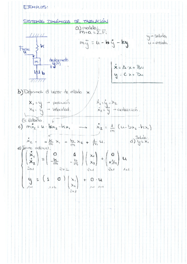
Apuntes-Modelado-Sistemas.pdf

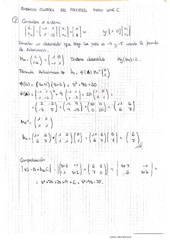
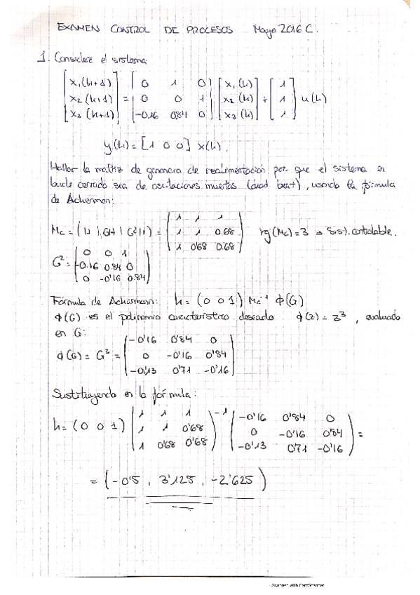
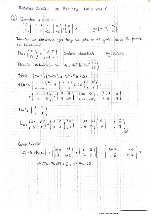
He publicado nuevos examenes de 1º Control de Procesos: Examen-mayo-2016-modelo-C.pdf

3 páginas

He publicado nuevos examenes de 1º Control de Procesos: Examen-mayo-2016-modelo-B.pdf

4 páginas

He publicado nuevos examenes de 1º Control de Procesos: Examen-mayo-2016-modelo-A.pdf

4 páginas

He publicado nuevos examenes de 1º Control de Procesos: Examen-mayo-2019.pdf

5 páginas

He publicado nuevos examenes de 1º Control de Procesos: Examen-mayo-2018.pdf

5 páginas

He publicado nuevos examenes de 1º Control de Procesos: Parcial-1-2018-con-solucion.pdf

1 página
Anónimo

@Anónimo

He publicado nuevos examenes de 1º Control de Procesos: Parte-2-mayo-2022.pdf

1 página
Anónimo

@Anónimo

He publicado nuevos examenes de 1º Control de Procesos: Parte-1-marzo-2022.pdf

2 páginas

He publicado nuevos examenes de 1º Control de Procesos: 2-parcial-mayo.pdf

1 página
Anónimo

@Anónimo

He publicado nuevos examenes de 1º Control de Procesos: Examen-ordinario-2022.pdf

1 página

He publicado nuevos examenes de 1º Control de Procesos: Primer-Parcial-2022.pdf

1 página

He publicado nuevos practicas de 1º Control de Procesos: Ejecutar-la-herramienta-Simulink-de-Matlab.pdf

9 páginas

examenes

-

solución parciales 2020-2022

He publicado nuevos examenes de 1º Control de Procesos: solución parciales 2020-2022

parcial2021.pdf
SOLUCION-PARCIAL-1.pdf

He publicado nuevos apuntes de 1º Control de Procesos: CONTROL-DE-PROCESOSEXAMEN-PARCIAL-2-2021.pdf

1 página

He publicado nuevos examenes de 1º Control de Procesos: CONTROL-DE-PROCESOSEXAMEN-PARCIAL-1-2021.pdf

1 página

He publicado nuevos apuntes de 1º Control de Procesos: sol-parcial-25-marzo-2021.pdf

3 páginas

He publicado nuevos apuntes de 1º Control de Procesos: solucion-parcial-mayo-2021.pdf

pdf

He publicado nuevos examenes de 1º Control de Procesos: parcial2021.pdf

1 página

He publicado nuevos examenes de 1º Control de Procesos: SOLUCION-PARCIAL-1.pdf

6 páginas

examenes

-

Exámenes parciales

He publicado nuevos examenes de 1º Control de Procesos: Exámenes parciales

Enunciado-Parcial-1-2020.pdf
Parciales-2-resueltos.pdf
Parciales-1-resueltos.pdf

ejercicios

-

Problemas resueltos

He publicado nuevos ejercicios de 1º Control de Procesos: Problemas resueltos

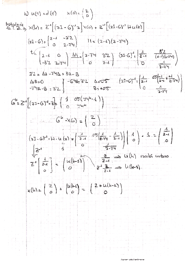
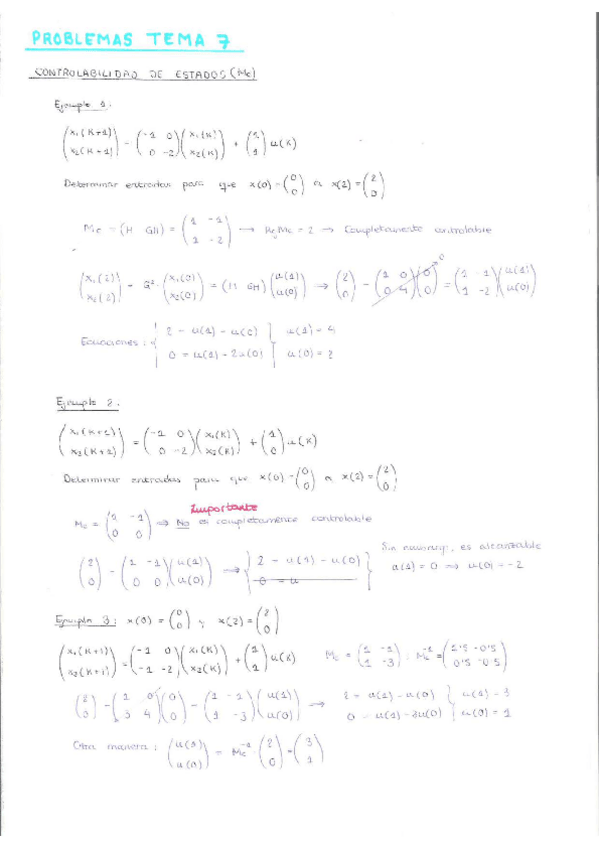
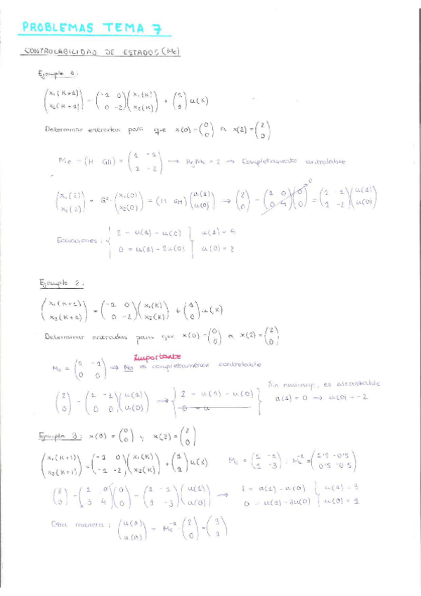
Problemas-resueltos-Tema-7.pdf
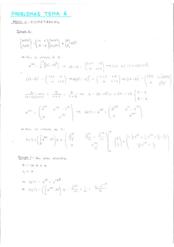
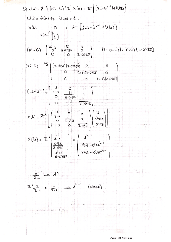
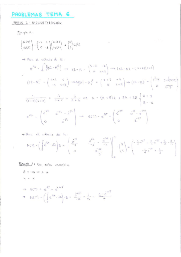
Problemas-resueltos-Tema-6.pdf
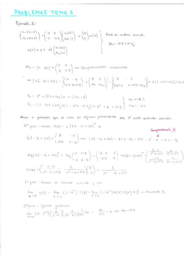
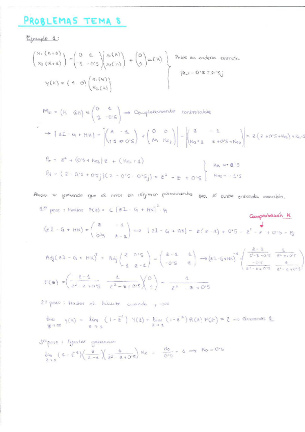
Problemas-resueltos-Tema-8.pdf
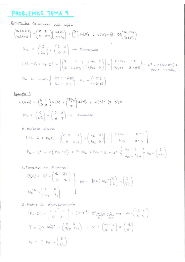
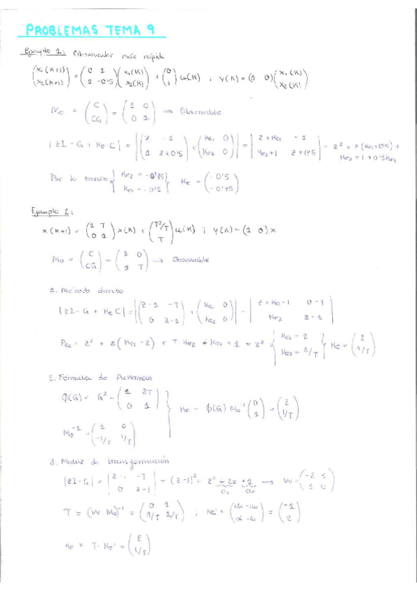
Problemas-resueltos-Tema-9.pdf

apuntes

-

Apuntes con ejemplos y resúmenes

He publicado nuevos apuntes de 1º Control de Procesos: Apuntes con ejemplos y resúmenes

Resumen-y-repaso-Primer-parcial.pdf
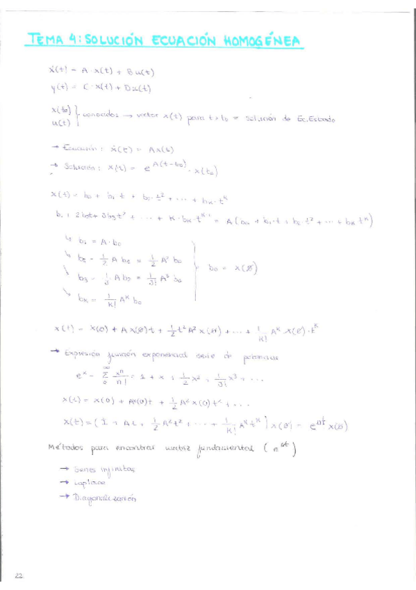
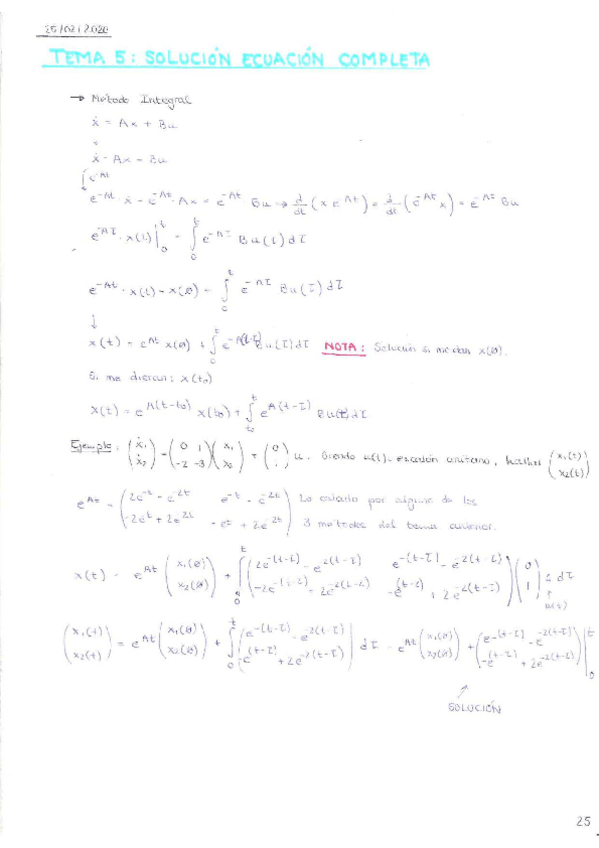
Apuntes-Tema-5.pdf
Apuntes-Tema-9.pdf
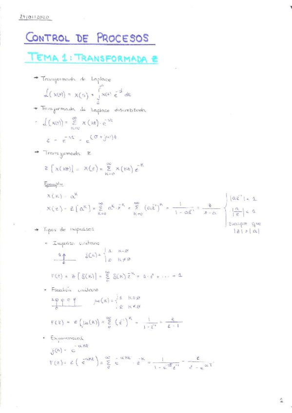
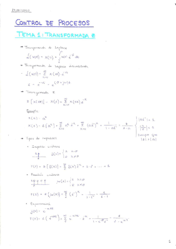
Apuntes-Tema-1.pdf
Apuntes-Tema-4.pdf
Apuntes-Tema-6.pdf