JorgeAroca
05ControlDiscretoOrdinario2018.pdf
16 páginas
Ejercicios - ControlDiscretoRelacionProblemas1.pdf
pdf
14 páginas
17
0
Apuntes - Apuntes-Control-Digital.pdf
74 páginas
12
Ejercicios - 05ControlDiscretoRelacionProblemas2.pdf
14
Exámenes - Ejercicios-Examenes-Parcial-1.pdf
13 páginas
13
Exámenes - 05ControlDiscretoOrdinario2020.pdf
Exámenes - 05ControlDiscretoConvEspecial2015.pdf
6 páginas
Exámenes - 05ControlDiscretoExtraordinario2018.pdf
9
Exámenes - 05ControlDiscretoExtraordinario2015.pdf
Prácticas - PRACTICA-1.pdf
19 páginas
Exámenes - 05ControlDiscretoExtraordinario2020.pdf
5 páginas
Exámenes - 05ControlDiscretoExtraordinario2016.pdf
7 páginas
7
Exámenes - 05ControlDiscretoExtraordinario2014.pdf
Exámenes - 05ControlDiscretoOrdinario2013.pdf
8
Exámenes - 05ControlDiscretoOrdinario2017.pdf
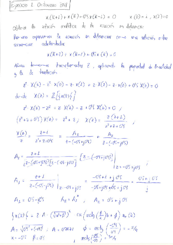
Exámenes - 05ControlDiscretoOrdinario2018.pdf
Exámenes - Ejercicios-Examenes-Segundo-Parcial.pdf
25 páginas
Trabajos - TRABAJO-1-PASO-A-PASO.pdf
11 páginas
Prácticas - PRACTICA-2.pdf
18 páginas
5
Prácticas - PRACTICA3.pdf
3