Anónimo
Ejercicios Control por Computador
Test-Tema-4-B.pdf
3 páginas
Test-Tema-5.pdf
8 páginas
Test-Tema-6.pdf
5 páginas
Test-Tema-2.pdf
Test-Tema-4-A.pdf
2 páginas
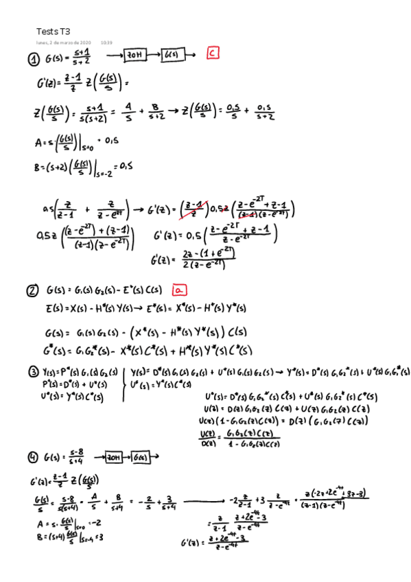
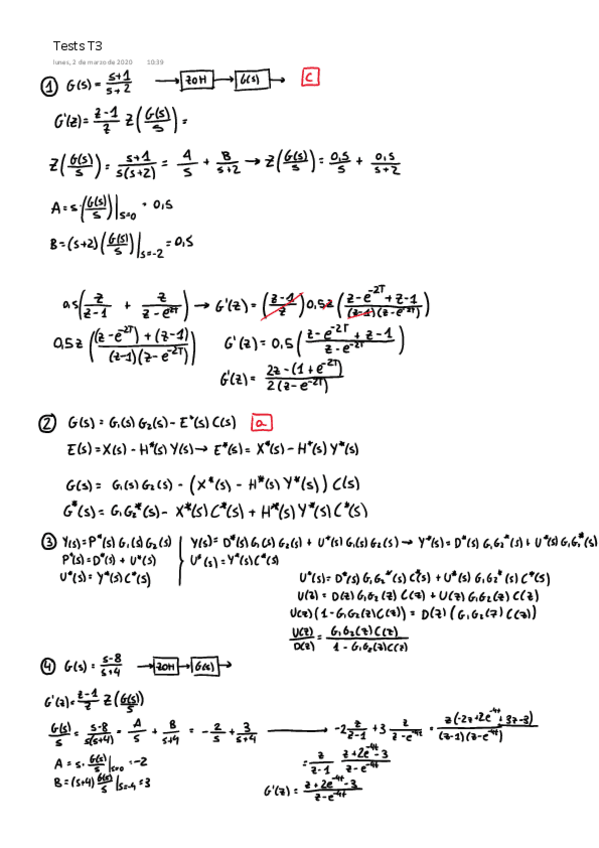
Test-Tema-3.pdf
Apuntes - Examen-Control-por-Computador.pdf
pdf
46
1
Exámenes - Junio-2019.pdf
12 páginas
34
0
Exámenes - Junio-2017.pdf
22
Exámenes - Test-1-control-por-computador.pdf
30
Exámenes - Junio-2016.pdf
10 páginas
18
Ejercicios - Test-Tema-2.pdf
Ejercicios - Problemas-2.pdf
10
Ejercicios - Test-Tema-4-A.pdf
12
Ejercicios - Test-Tema-4-B.pdf
13
Exámenes - P4.pdf
11
Ejercicios - Test-Tema-3.pdf
9
Ejercicios - problemas3.pdf
14 páginas
8
Exámenes - P3.pdf
6
Exámenes - P2.pdf
4 páginas
14
Ejercicios - t6t01.pdf
Ejercicios - t3t01.pdf
7 páginas
7
Ejercicios - Test-Tema-5.pdf
Ejercicios - Problemas-3.pdf
4
Ejercicios - Test-Tema-6.pdf
Ejercicios - problemas6.pdf
15 páginas
5