Cultura e Civilización para T/I: Conceptualizacións Básicas

chevron_left
chevron_right
Todo
Apuntes
chevron_left
chevron_right
Anónimo

@Anónimo

Todo tema 4 con resumenes de los videos, en español

3 páginas
Anónimo

@Anónimo

apuntes

-

Tema 3: Sistema politico

Common law y desgloce de sistemas politicos

TEMA-3-COMMON-LAW.pdf
Anónimo

@Anónimo

apuntes

-

TEMA 2 HISTORIA Y RELIGION

Todo el contenido del tema 2, con los videos de youtube trasncritos, las diapositivas y el material interactivo (linea del tiempo y blog)

TEMA-2-HISTORIA-Y-RELIGION.pdf
Anónimo

@Anónimo

apuntes

-

Tema 1 Cultura y traduccion.

Todo lo de las diapositivas del Tema 1 en español, en 3 archivos para imprimir.

Tema-1-3-CULTURA-Y-COMUNICACION.pdf
Tema-1-1.pdf
Tema-1-2-Traducir-la-cultura.docx.pdf

He publicado nuevos apuntes de 2º Cultura e Civilización para T/I: Conceptualizacións Básicas: Analise-de-textos.pdf

7 páginas

He publicado nuevos apuntes de 2º Cultura e Civilización para T/I: Conceptualizacións Básicas: Cultura-e-comunicacion.pdf

3 páginas

He publicado nuevos apuntes de 2º Cultura e Civilización para T/I: Conceptualizacións Básicas: Que-e-a-cultura.pdf

2 páginas

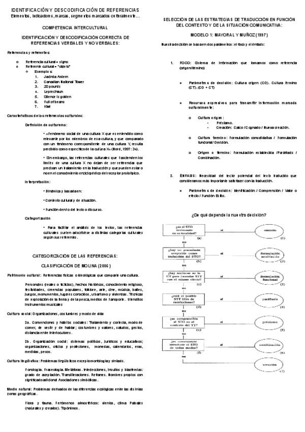
He publicado nuevos apuntes de 2º Cultura e Civilización para T/I: Conceptualizacións Básicas: Traducir-as-referencias-culturais.pdf

5 páginas
Anónimo

@Anónimo

He publicado nuevos apuntes de 2º Cultura e Civilización para T/I: Conceptualizacións Básicas: UNIDAD-1.pdf

7 páginas
¡Estás al día!

¡Estás al día!

Has visto todos los archivos