Portada
Asignatura
Grado en Ciencias de la Actividad Física y del Deporte (UA)
DEPORTES DEL MAR
Fecha de subida
21 ene 2024
Categoría
apuntes
Etiquetas
Exámenes - Examen-deportes-del-mar.pdf
pdf
3 páginas
53
2
Exámenes - Examen-Deportes-del-Mar.pdf
5 páginas
40
1
Apuntes - Deportes-del-Mar-tema-7-resumen.pdf
2 páginas
13
0
Apuntes - Tema-3-resumen.pdf
11
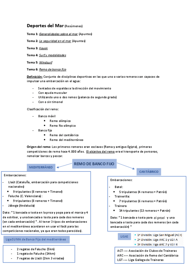
Apuntes - Tema-6-Resumen.pdf
8
Apuntes - Tema-5-Resumen.pdf
Apuntes - UD3-Snorkeling.pdf
13 páginas
9
Apuntes - Tema-4-resumen.pdf
Apuntes - Deportes-del-Mar-tema-8-resumen.pdf
10
Apuntes - Tema1.pdf
15
Apuntes - UD7-Remo-de-banco-fijo.pdf
35 páginas
Apuntes - UD8-Remo-de-banco-movil.pdf
40 páginas
Apuntes - Deportes-del-Mar-Resumen-tema-1.pdf
1 página
6
Apuntes - UD1-Generalidades-sobre-el-mar.pdf
Apuntes - UD6-Windsurf.pdf
48 páginas
Apuntes - UD4-Kayak.pdf
23 páginas
5
Apuntes - UD2-La-seguridad-en-el-mar.pdf
26 páginas
Apuntes - TEMA-2-DM.pdf
10 páginas
Apuntes - TEMA-6-DM.pdf
4