Todo
Apuntes
Ejercicios
Exámenes
Prácticas
Test
Trabajos
chevron_left
chevron_right

apuntes

-

APUNTES DERECHO DEL TRABAJO II

He publicado nuevos apuntes de 2º Derecho del Trabajo II: APUNTES DERECHO DEL TRABAJO II

APUNTES-TEMA-I-DERECHO-DEL-TRABAJO-II.pdf
APUNTES-TEMA-II-DERECHO-DEL-TRABAJO-II.pdf
APUNTES-TEMA-III-DERECHO-DEL-TRABAJO-II.pdf
APUNTES-TEMA-IV-DERECHO-DEL-TRABAJO-II.pdf
APUNTES-TEMA-V-DERECHO-DEL-TRABAJO-II.pdf
APUNTES-TEMA-VI-DERECHO-DEL-TRABAJO-II.pdf

apuntes

-

Derecho del trabajo II

He publicado nuevos apuntes de 2º Derecho del Trabajo II: Derecho del trabajo II

Dt-II.pdf
Dt-II--cuadro-resumen.pdf

apuntes

-

DRET DEL TREBALL II 2N

He publicado nuevos apuntes de 2º Derecho del Trabajo II: DRET DEL TREBALL II 2N

t-8-DRET-DEL-TREBALL-II.pdf
T-7-DRET-DEL-TREBALL-II.pdf
T-1-DRET-DEL-TREBALL-II.pdf
t-6-dret-del-treball-II.pdf
T-5-DRET-DEL-TREBALL-II.pdf
T-3-DRET-DEL-TREBALL-II.pdf

He publicado nuevos examenes de 2º Derecho del Trabajo II: examen-derecho-del-trabajo-2.pdf

5 páginas

He publicado nuevos examenes de 2º Derecho del Trabajo II: examen-derecho-del-trabajo.pdf.pdf

5 páginas

He publicado nuevos examenes de 2º Derecho del Trabajo II: preguntas-redactadas-examen-trabajo.pdf

12 páginas

Apuntes de todos los temas de Derecho del trabajo II.

61 páginas
Anónimo

@Anónimo

He publicado nuevos apuntes de 2º Derecho del Trabajo II: D.T-2.pdf

50 páginas

He publicado nuevos apuntes de 2º Derecho del Trabajo II: Tema-8-Derecho-del-Trabajo-II.pdf

8 páginas

He publicado nuevos apuntes de 2º Derecho del Trabajo II: Tabla-de-indemnizaciones.pdf

1 página

He publicado nuevos apuntes de 2º Derecho del Trabajo II: Tema-7-Derecho-del-Trabajo-II.pdf

10 páginas

practicas

-

Derecho del trabajo II

He publicado nuevos practicas de 2º Derecho del Trabajo II: Derecho del trabajo II

PRACTICA-FOGASA.pdf
Practicas-extincion-del-contrato.pdf

apuntes

-

APUNTES MUY BUENOS ENTEROS DERECHO DEL TRABAJO II

APUNTES DE CLASE MUY BUENOS, PARA ESTUDIAR A EXAMEN. COMPLETOOOOS

tema-1-2.pdf
TEMA-2.pdf
tema-3.pdf
tema-4.pdf
tema-5.pdf
tema-6-2.pdf

He publicado nuevos apuntes de 2º Derecho del Trabajo II: practica-nomina.numbers

Miniatura no disponible

apuntes

-

DERECHO DEL TRABAJO II

He publicado nuevos apuntes de 2º Derecho del Trabajo II: DERECHO DEL TRABAJO II

UNITAT-1-dret-del-treball-II.pdf
UNITAT-2-dret-del-treball-II.pdf

He publicado nuevos apuntes de 2º Derecho del Trabajo II: Tema-6-Derecho-Trabajo-II.pdf

9 páginas

He publicado nuevos apuntes de 2º Derecho del Trabajo II: TEMA-5-DDT.pdf

7 páginas

He publicado nuevos apuntes de 2º Derecho del Trabajo II: Tema-5-Derecho-del-trabajo-II.pdf

8 páginas

He publicado nuevos apuntes de 2º Derecho del Trabajo II: Tema-4-Derecho-del-Trabajo-II.pdf

3 páginas

He publicado nuevos apuntes de 2º Derecho del Trabajo II: Tema-3-Derecho-trabajo-II.pdf

7 páginas

He publicado nuevos apuntes de 2º Derecho del Trabajo II: Tema-2-Derecho-trabajo-II.pdf

9 páginas

He publicado nuevos apuntes de 2º Derecho del Trabajo II: Tema-1-Derecho-trabajo-II.pdf

12 páginas

He publicado nuevos apuntes de 2º Derecho del Trabajo II: PRACTICA-y-correccion-parcial.pdf

6 páginas

He publicado nuevos examenes de 2º Derecho del Trabajo II: Parcial-Derecho-del-trabajo.pdf

6 páginas

He publicado nuevos apuntes de 2º Derecho del Trabajo II: Apuntes-completos.pdf

27 páginas

apuntes

-

Temario completo

He publicado nuevos apuntes de 2º Derecho del Trabajo II: Temario completo

TEMA-1-EL-TIEMPO-DE-TRABAJO.pdf
TEMA-2-EL-SALARIO.pdf
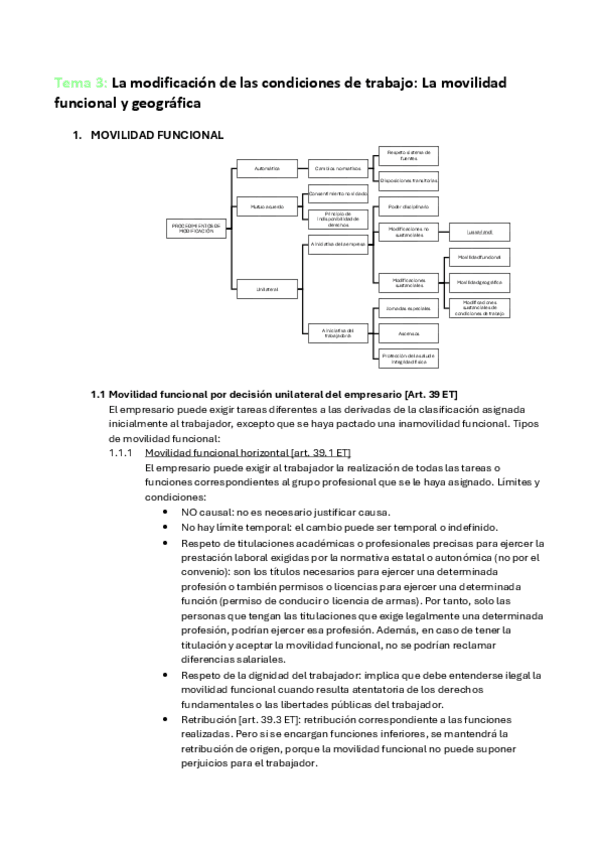
TEMA-3-DETERMINACION-Y-MODIFICACION-DE-LA-PRESTACION-LABORAL.pdf
TEMA-4.pdf
TEMA-5-INTERRUPCION-Y-SUSPENSION-DEL-CONTRATO.pdf

He publicado nuevos apuntes de 2º Derecho del Trabajo II: Derecho-del-trabajo-Tema-1.pdf

7 páginas

He publicado nuevos apuntes de 2º Derecho del Trabajo II: Sentencia-15.pdf

2 páginas

He publicado nuevos apuntes de 2º Derecho del Trabajo II: Practicas-modificaciones-conractuales.pdf

4 páginas

He publicado nuevos apuntes de 2º Derecho del Trabajo II: Practica-tema-1.-Derecho-del-trabajo.pdf

3 páginas

He publicado nuevos apuntes de 2º Derecho del Trabajo II: Practica-MF.-Derecho-del-trabajo.pdf

2 páginas

He publicado nuevos apuntes de 2º Derecho del Trabajo II: Practica-complementos-retributivos.pdf

1 página

He publicado nuevos apuntes de 2º Derecho del Trabajo II: Practica-poder-disciplinario-empresario.pdf

2 páginas

He publicado nuevos apuntes de 2º Derecho del Trabajo II: Actividad-5.-Derecho-del-trabajo.pdf

1 página

He publicado nuevos apuntes de 2º Derecho del Trabajo II: Nomina.pdf

2 páginas

He publicado nuevos apuntes de 2º Derecho del Trabajo II: Notificacion.pdf

2 páginas

He publicado nuevos apuntes de 2º Derecho del Trabajo II: derecho-del-trabajo-II.pdf

97 páginas

He publicado nuevos apuntes de 2º Derecho del Trabajo II: IMG7276.jpeg

Imagen

He publicado nuevos apuntes de 2º Derecho del Trabajo II: RESUMEN-DE-LOS-TEMAS-MAS-IMPORTANTES-DEL-DOCUMENTO.pdf

2 páginas

He publicado nuevos apuntes de 2º Derecho del Trabajo II: Temari-complet-Dret-del-treball-II.pdf

39 páginas

He publicado nuevos apuntes de 2º Derecho del Trabajo II: Tema-11.pdf

3 páginas

He publicado nuevos apuntes de 2º Derecho del Trabajo II: Tema-10.pdf

3 páginas

He publicado nuevos apuntes de 2º Derecho del Trabajo II: Tema-9.pdf

13 páginas

He publicado nuevos apuntes de 2º Derecho del Trabajo II: Tema-8.pdf

10 páginas

He publicado nuevos apuntes de 2º Derecho del Trabajo II: Tema-7.pdf

5 páginas

He publicado nuevos apuntes de 2º Derecho del Trabajo II: Tema-5.pdf

2 páginas

He publicado nuevos apuntes de 2º Derecho del Trabajo II: Tema-6.pdf

6 páginas

He publicado nuevos apuntes de 2º Derecho del Trabajo II: Tema-4.pdf

3 páginas

He publicado nuevos apuntes de 2º Derecho del Trabajo II: Tema-3.pdf

7 páginas

He publicado nuevos apuntes de 2º Derecho del Trabajo II: Tema-2.pdf

9 páginas

He publicado nuevos apuntes de 2º Derecho del Trabajo II: Tema-1.pdf

9 páginas
Anónimo

@Anónimo

He publicado nuevos apuntes de 2º Derecho del Trabajo II: Tema-1-Derecho-del-trabajo-2.pdf

3 páginas

He publicado nuevos apuntes de 2º Derecho del Trabajo II: Apuntes.pdf

69 páginas

apuntes

-

Temario completo, derecho del trabajo II

He publicado nuevos apuntes de 2º Derecho del Trabajo II: Temario completo, derecho del trabajo II

Tema-6.-DERECHO-DEL-TRABAJO-II.pdf
Tema-1.-DERECHO-DEL-TRABAJO-II.pdf
Tema-2.-DERECHO-DEL-TRABAJO-II.pdf
Tema-3.-DERECHO-DEL-TRABAJO-II.pdf
Tema-4.-DERECHO-DEL-TRABAJO-II.pdf
Tema-5.-DERECHO-DEL-TRABAJO-II.pdf

He publicado nuevos apuntes de 2º Derecho del Trabajo II: Dret.pdf

20 páginas

apuntes

-

Apuntes temas 1 al 11

He publicado nuevos apuntes de 2º Derecho del Trabajo II: Apuntes temas 1 al 11

TEMAS-1-y-2.pdf
TEMA-6.pdf
TEMA-5.pdf
TEMA-4.pdf
TEMA-3.pdf
TEMA-10.pdf

He publicado nuevos apuntes de 2º Derecho del Trabajo II: t1-t2-t3-DT2.docx

word

apuntes

-

APUNTES DERECHO DEL TRABAJO II

He publicado nuevos apuntes de 2º Derecho del Trabajo II: APUNTES DERECHO DEL TRABAJO II

TEMA11-DERECHO-DEL-TRABAJO-II.pdf
TEMA10-DERECHO-DEL-TRABAJO-II.pdf
TEMA9-DERECHO-DEL-TRABAJO-II.pdf
TEMA8-DERECHO-DEL-TRABAJO-II.pdf
TEMA7-DERECHO-DEL-TRABAJO-II.pdf
TEMA5-DERECHO-DEL-TRABAJO-II.pdf

test

-

EXÁMENES TEST

He publicado nuevos test de 2º Derecho del Trabajo II: EXÁMENES TEST

EXAMEN-TEST-T1-5.pdf
EXAMEN-TEST-T6-11.pdf

practicas

-

PRÁCTICAS DERECHO DEL TRABAJO II

He publicado nuevos practicas de 2º Derecho del Trabajo II: PRÁCTICAS DERECHO DEL TRABAJO II

Practica-9-DT.pdf
Practica-3-y-4-DT.pdf
Practica-2-DT.pdf
Practica-1-DT.pdf