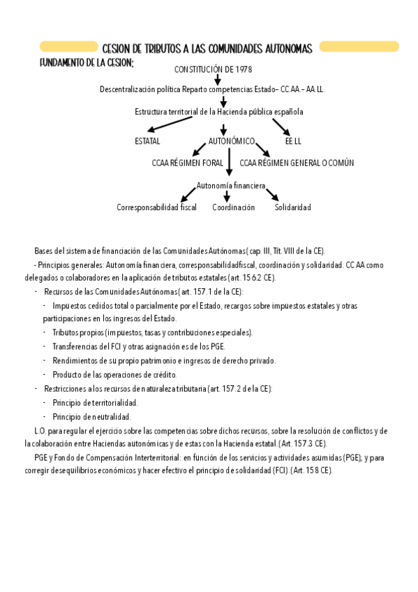
CESION-DE-TRIBUTOS-A-LAS-CCAA.pdf

Marii_gar

Temas resumidos derecho financiero III

8 archivos·

Conceptos-preliminares-ITP-y-AJD.pdf

3 páginas

TRANSMISIONES-PATRIMONIALES-ONEROSAS-TPO.pdf

7 páginas

ACTOS-JURIDICOS-DOCUMENTADOS-AJD.pdf

4 páginas

OPERACIONES-SOCIETARIAS-OS.pdf

3 páginas

IMPUESTO-SOBRE-SUCESIONES-Y-DONACIONES-ISD.pdf

10 páginas

LOS-PUNTOS-DE-CONEXION-EN-LOS-TCCA.pdf

2 páginas

CESION-DE-TRIBUTOS-A-LAS-CCAA.pdf

6 páginas

FORMULARIO-DCHO-FINANCIERO-III.pdf

5 páginas

content_copy

Archivos recomendados