Castillo6
Casos prácticos resueltos IVA
Tipo test IVA (1) (1).pdf
3 páginas
Caso práctico_ iva sop y rep (1).pdf
2 páginas
Caso práctico_ IVA rep y sop (1).pdf
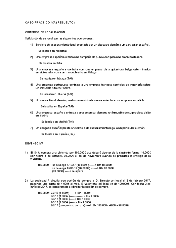
Caso práctico IVA (1).pdf
Apuntes - Tipo test RAE.pdf
pdf
1 página
163
0
Ejercicios - caso practico- actividad miercoles 28.odt
odt
26
Apuntes - Caso práctico_ rend trabajo.pdf
172
1
Apuntes - Tipo test IVA (1) (1).pdf
129
Exámenes - examen-2a-convocatoria-profesor.pdf
7 páginas
258
Apuntes - Caso práctico_ reducción art.18.pdf
Apuntes - Caso práctico no sujeción y exenciones (1).pdf
111
Apuntes - CASO PRACTICO INTEGRACION Y COMPENSACION (4).pdf
139
Apuntes - Caso práctico_ dietas y asignación para gastos viajes.pdf
131
Apuntes - Tema-1.pdf
38 páginas
200
Apuntes - Caso práctico_ gastos deducibles (1) (1).pdf
82
Apuntes - Tema-1-IRPF.pdf
23 páginas
217
Apuntes - EJERCICIOS SOCIEDADES.PDF
27 páginas
93
Apuntes - 20343_TEST IVA.pdf
10 páginas
144
Apuntes - IRPF.zip
zip
18
Apuntes - Práctica IS (1).pdf
77
Prácticas - Caso practico 1 exenciones IRPF.doc
doc
21
Apuntes - Caso práctico_ iva sop y rep (1).pdf
91
Apuntes - Caso práctico_ IVA rep y sop (1).pdf
80
Apuntes - Caso práctico_ pérdida por deterioro (1) (1).pdf
69