Portada
Asignatura
Grado en Administración y Dirección de Empresas (UA)
Dirección de Marketing
Fecha de subida
13 feb 2019
Categoría
ejercicios
Etiquetas
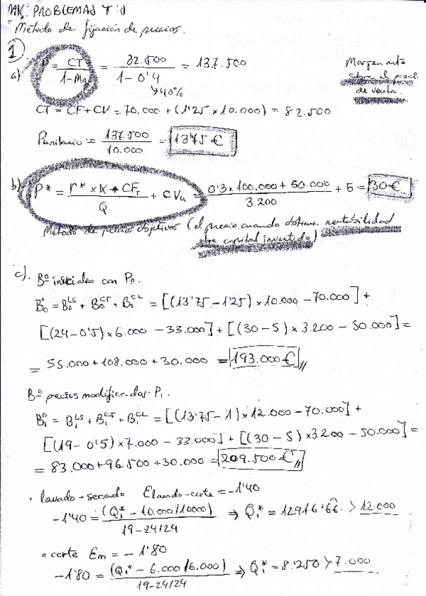
Apuntes - Problemas-Tema-5-solucion.pdf
pdf
34 páginas
232
2
Apuntes - resumen tema 1-2,3,4.pdf
32 páginas
175
1
Apuntes - Para estudiar el final (actualizado).pdf
10 páginas
108
3
Exámenes - Examen direccion marketing.pdf
5 páginas
155
Exámenes - examen-junio-preguntas-y-respuestas.pdf
2 páginas
136
5
Apuntes - Problemas-examen-T.pdf
8 páginas
128
Test - PREGUNTAS-TEST.pdf
16 páginas
139
Apuntes - Tema-5-Practicas.pdf
0 páginas
142
Ejercicios - PROBLEMAS RESUELTOS mk.pdf
Ejercicios - Ejercicios-tema-5-resueltos.pdf
65 páginas
75
Apuntes - Preguntas-examen-T.pdf
106
Exámenes - Nuevo doc 1.pdf
115
Apuntes - Tema-6.pdf
82
Exámenes - examen-enero-2020-preguntas-y-respuestas.pdf
117
6
Apuntes - Tema-7.pdf
85
0
Apuntes - TEMA-7-Direccion-Marketing.pdf
9 páginas
70
Apuntes - TEMA-6-Direccion-Marketing.pdf
66
Apuntes - TEMA-4-Resumen-Direccion-Marketing.pdf
64
Exámenes - 2017-01-11-18.pdf
1 página
86
Apuntes - Tema-1.pdf
99