Portada
Asignatura
Grado en Administración y Dirección de Empresas (UNIR)
Dirección de Operaciones
Fecha de subida
29 sep 2024
Categoría
examenes
Etiquetas
Exámenes - EXAMEN-DIRECCION-DE-OPERACIONES.pdf
pdf
7 páginas
57
1
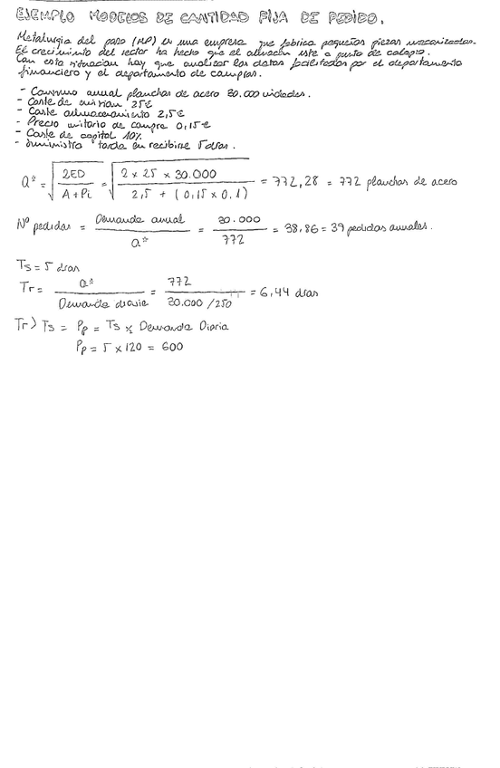
Apuntes - EJERCICIOS.png
png
8
0
Apuntes - Apunts-Direccio-dOperacions-i-Logistica.pdf
58 páginas
7
Apuntes - RESUMEN-TEMA-4.pdf
10 páginas
5
4
6
Apuntes - RESUMEN-TEMA-9.pdf
2
Apuntes - RESUMEN-TEMA-1.pdf
Apuntes - RESUMEN-TEMA-6.pdf
15 páginas
Apuntes - RESUMEN-TEMA-7.pdf
Apuntes - RESUMEN-TEMA-11.pdf
Apuntes - RESUMEN-TEMA-2.pdf
9 páginas
Apuntes - RESUMEN-TEMA-10.pdf
11 páginas
Apuntes - RESUMEN-TEMA-12.pdf
1 página
Apuntes - RESUMEN-TEMA-5.pdf
Apuntes - RESUMEN-TEMA-13.pdf
Apuntes - RESUMEN-TEMA-14.pdf
6 páginas